红黑树
问题
- 什么是红黑树?
- 红黑树怎么自平衡?
- 什么时候左旋和右旋?
- 插入或删除操作破坏了熟的平衡该怎么处理?
特征
红黑树是自平衡的二叉查找树. 除了具备二叉查找树的特征之外,还具有以下特征:
- 性质1: 节点要么是红色要么是黑色
- 性质2: 根节点是黑色
- 性质3: 每个叶子的节点都是黑色的空节点
- 性质4: 每个红色节点的两个子节点都是黑色
- 性质5: 从任意节点到其每个叶子的所有路径都包含相同的黑色节点
根据性质5 ==> 如果一个节点存在黑色子节点,那么该节点肯定有两个节点
正是红黑树的五条性质,使得一棵n个节点的红黑树,始终保持了lg(n)的高度。
==> 红黑树的查找,插入,删除的时间复杂度最坏为O(log n).

红黑树性质修复
红黑树的性质会在节点的插入,删除的时候,受到影响. 我们可以通过 旋转,着色两种方式来进行修复。旋转分为分为左旋和右旋。
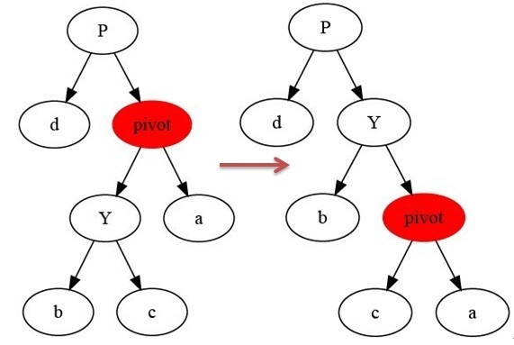
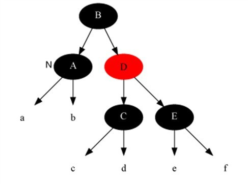
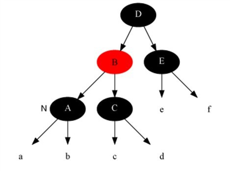
- 左旋

如上图, 当在节点privot上进行左旋操作的时候,我们假设它的右孩子Y不为null,privot可以为任何不适Null节点的左孩子节点.旋转过程如下:
以privot节点到Y节点之间的链为支轴进行,它使Y称为该孩子树新的根,而Y的左孩子B称为privot的右孩子。
结果如上右侧图。
- 右旋

和左旋类似,旋转过程如下:
以privot节点和Y节点的链为支轴,将Y节点变为当前子树的新根,privot节点作为Y节点的右子树,C节点作为Y节点的左子树。
结果如上右侧图。
注意: 对于树的旋转,能保持不变的只有原树的搜索性质,而原树的红黑性质则不能保持,这时候就需要利用着色方式来进行修复了,具体的修复场景如下:
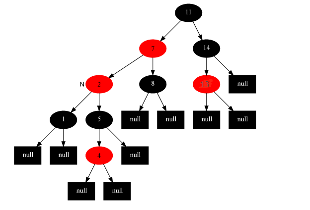
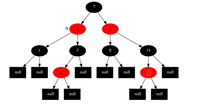
- 场景1: 当前节点的父节点是红色,并且叔叔节点是红色。==>父节点涂黑,叔叔节点涂黑,祖父节点涂红
- 场景2: 当前节点的父节点是红色,叔叔是黑色,当前节点是父节点的右子树。==>当前节点的父节点作为新的当前节点,以新的当前节点左旋。
- 场景3: 当前节点的父节点是红色,叔叔节点是黑色,当前节点是父节点的左子树. ==>父节点变为黑色,祖父节点变为红色,以祖父节点为支点右旋。
其实呢还有两种场景,不过这两种太简单了,这里简单提一嘴。
- 红黑树为空树,直接插入当前节点,节点涂为黑色就好了。
- 插入节点的父节点是黑色,直接插入当前节点,因为红色节点不会影响红黑树的性质。
红黑树的插入过程
接下来以插入过程解释下上面提及的3个场景。
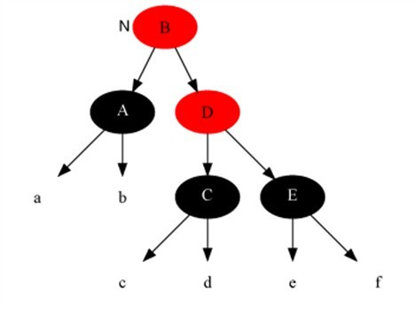
- 针对场景1:

使用策略: 父节点涂黑,叔叔节点涂黑,祖父节点涂红,变成下图:

这样就是变成了场景2:当前节点的父节点是红色,叔叔是黑色,当前节点是父节点的右子树.
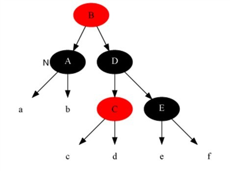
- 针对场景2,
[外链图片转存失败,源站可能有防盗链机制,建议将图片保存下来直接上传(img-MYjpcEWY-1591504960692)
使用策略:当前节点的父节点作为新的当前节点,以新的当前节点左旋。

这样就变成场景三: 当前节点的父节点是红色,叔叔节点是黑色,当前节点是父节点的左子树
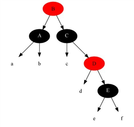
- 针对场景3:
[外链图片转存失败,源站可能有防盗链机制,建议将图片保存下来直接上传(img-PUgNl60n-1591504960696)
使用策略: 父节点变为黑色,祖父节点变为红色,以祖父节点为支点右旋。

到此为止就是一颗完整的红黑树了。
红黑树的删除过程
红黑树的删除节点和常规二叉树删除方法是一样的.
- 如果它的子结点都是空结点,那就用空结点顶替它的位置
- 如果被删除的结点只有一个子节点,则直接删除这个结点
- 如果它的双子全为非空,我们就把它的直接后继结点内容复制到它的位置,之后以同样的方式删除它的后继结点,它的后继结点不可能是双子非空,因此此传递过程最多只进行一次。
二叉树的删除算法:
if left[z] = NIL or right[z] = NIL
then y ← z
else y ← TREE-SUCCESSOR(z)
if left[y] ≠ NIL
then x ← left[y]
else x ← right[y]
if x ≠ NIL
then p[x] ← p[y]
if p[y] = NIL
then root[T] ← x
else if y = left[p[y]]
then left[p[y]] ← x
else right[p[y]] ← x
if y ≠ z
then key[z] ← key[y]
copy y's satellite data into z
return y
红黑树的删除算法:
if left[z] = nil[T] or right[z] = nil[T]
then y ← z
else y ← TREE-SUCCESSOR(z)
if left[y] ≠ nil[T]
then x ← left[y]
else x ← right[y]
p[x] ← p[y]
if p[y] = nil[T]
then root[T] ← x
else if y = left[p[y]]
then left[p[y]] ← x
else right[p[y]] ← x
if y ≠ z
then key[z] ← key[y]
copy y's satellite data into z
if color[y] = BLACK
then RB-DELETE-FIXUP(T, x)
return y
在删除结点后,原红黑树的性质可能被改变,如果删除的是红色结点,那么原红黑树的性质依旧保持,此时不用做修正操作,如果删除的结点是黑色结点,原红黑树的性质可能会被改变,我们要对其做修正操作。那么哪些树的性质会发生变化呢,如果删除结点不是树唯一结点,那么删除结点的那一个支的到各叶结点的黑色结点数会发生变化,此时性质5被破坏。如果被删结点的唯一非空子结点是红色,而被删结点的父结点也是红色,那么性质4被破坏。如果被删结点是根结点,而它的唯一非空子结点是红色,则删除后新根结点将变成红色,违背性质2
红黑树修复属性使用的算法:
while x ≠ root[T] and color[x] = BLACK
do if x = left[p[x]]
then w ← right[p[x]]
if color[w] = RED
then color[w] ← BLACK ▹ Case 1
color[p[x]] ← RED ▹ Case 1
LEFT-ROTATE(T, p[x]) ▹ Case 1
w ← right[p[x]] ▹ Case 1
if color[left[w]] = BLACK and color[right[w]] = BLACK
then color[w] ← RED ▹ Case 2
x ← p[x] ▹ Case 2
else if color[right[w]] = BLACK
then color[left[w]] ← BLACK ▹ Case 3
color[w] ← RED ▹ Case 3
RIGHT-ROTATE(T, w) ▹ Case 3
w ← right[p[x]] ▹ Case 3
color[w] ← color[p[x]] ▹ Case 4
color[p[x]] ← BLACK ▹ Case 4
color[right[w]] ← BLACK ▹ Case 4
LEFT-ROTATE(T, p[x]) ▹ Case 4
x ← root[T] ▹ Case 4
else (same as then clause with "right" and "left" exchanged)
color[x] ← BLACK
上面的修复情况看起来有些复杂,下面我们用一个分析技巧:我们从被删结点后来顶替它的那个结点开始调整,并认为它有额外的一重黑色。这里额外一重黑色是什么意思呢,我们不是把红黑树的结点加上除红与黑的另一种颜色,这里只是一种假设,我们认为我们当前指向它,因此空有额外一种黑色,可以认为它的黑色是从它的父结点被删除后继承给它的,它现在可以容纳两种颜色,如果它原来是红色,那么现在是红+黑,如果原来是黑色,那么它现在的颜色是黑+黑。有了这重额外的黑色,原红黑树性质5就能保持不变。现在只要恢复其它性质就可以了,做法还是尽量向根移动和穷举所有可能性。
有如下情况:
-
当前结点是红+黑色
解法,直接把当前结点染成黑色,结束此时红黑树性质全部恢复。 -
当前结点是黑+黑且是根结点, 解法:什么都不做,结束。
-
删除修复情况1:当前结点是黑+黑且兄弟结点为红色(此时父结点和兄弟结点的子结点分别为黑) ==> 把父结点染成红色,把兄弟结点染成黑色,之后重新进入算法。
-
删除修复情况2:当前结点是黑加黑且兄弟是黑色且兄弟结点的两个子结点全为黑色
-
删除修复情况3:当前结点颜色是黑+黑,兄弟结点是黑色,兄弟的左子是红色,右子是黑色
-
删除修复情况4:当前结点颜色是黑-黑色,它的兄弟结点是黑色,但是兄弟结点的右子是红色,兄弟结点左子的颜色任意
现在分别先说下
情景1: 当前节点是黑+黑,且兄弟节点为红色(此时父节点和兄弟节点的子节点为黑)
解法:把父结点染成红色,把兄弟结点染成黑色,之后重新进入算法(我们只讨论当前结点是其父结点左孩子时的情况)。此变换后原红黑树性质5不变,而把问题转化为兄弟结点为黑色的情况(注:变化前,原本就未违反性质5,只是为了把问题转化为兄弟结点为黑色的情况)。 即如下代码操作:
//调用RB-DELETE-FIXUP(T, x) 的1-8行代码
while x ≠ root[T] and color[x] = BLACK
do if x = left[p[x]]
then w ← right[p[x]]
if color[w] = RED
then color[w] ← BLACK ▹ Case 1
color[p[x]] ← RED ▹ Case 1
LEFT-ROTATE(T, p[x]) ▹ Case 1
w ← right[p[x]] ▹ Case 1
变化前:

变化后:

删除修复情况2:当前结点是黑加黑且兄弟是黑色且兄弟结点的两个子结点全为黑色。
解法:把当前结点和兄弟结点中抽取一重黑色追加到父结点上,把父结点当成新的当前结点,重新进入算法。(此变换后性质5不变),即调用RB-INSERT-FIXUP(T, z) 的第9-10行代码操作,如下:
//调用RB-DELETE-FIXUP(T, x) 的9-11行代码
if color[left[w]] = BLACK and color[right[w]] = BLACK
then color[w] ← RED ▹ Case 2
x p[x] ▹ Case 2
变化前:

变化后:

删除修复情况3:当前结点颜色是黑+黑,兄弟结点是黑色,兄弟的左子是红色,右子是黑色。
解法:把兄弟结点染红,兄弟左子结点染黑,之后再在兄弟结点为支点解右旋,之后重新进入算法。此是把当前的情况转化为情况4,而性质5得以保持,即调用RB-INSERT-FIXUP(T, z) 的第12-16行代码,如下所示:
//调用RB-DELETE-FIXUP(T, x) 的第12-16行代码
else if color[right[w]] = BLACK
then color[left[w]] ← BLACK ▹ Case 3
color[w] ← RED ▹ Case 3
RIGHT-ROTATE(T, w) ▹ Case 3
w ← right[p[x]] ▹ Case 3
变化前

变化后

删除修复情况4:当前结点颜色是黑-黑色,它的兄弟结点是黑色,但是兄弟结点的右子是红色,兄弟结点左子的颜色任意。
解法:把兄弟结点染成当前结点父结点的颜色,把当前结点父结点染成黑色,兄弟结点右子染成黑色,之后以当前结点的父结点为支点进行左旋,此时算法结束,红黑树所有性质调整正确,即调用RB-INSERT-FIXUP(T, z)的第17-21行代码,如下所示:
//调用RB-DELETE-FIXUP(T, x) 的第17-21行代码
color[w] ← color[p[x]] ▹ Case 4
color[p[x]] ← BLACK ▹ Case 4
color[right[w]] ← BLACK ▹ Case 4
LEFT-ROTATE(T, p[x]) ▹ Case 4
x ← root[T] ▹ Case 4
变化前:

变化后:

挑战
- 使用java,c,python,go,dart实现红黑树。
参考文章
最后
希望和你成为朋友~一起学习,一起进步


浙公网安备 33010602011771号