使用matlab仿真 混沌张弛计量经济振荡器 微分方程组
参考文献:https://www.ee.cityu.edu.hk/~gchen/pdf/Rocard.pdf
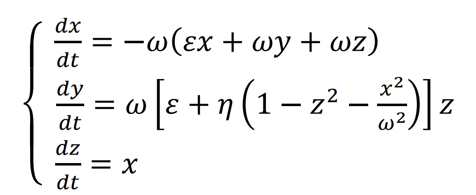
方程组:

代码如下:
% 混沌张弛计量经济振荡器
% 方程组如下 
x0 = 0.1;
y0 = 0.1;
z0 = 0.1;
n = 1e4;
x = zeros(n, 3);
x(1,:) = [x0, y0, z0];
for k=2:n
[dx,dy,dz] = dxdt_Lorenz(x(k-1,1),x(k-1,2),x(k-1,3));
x(k,1) = x(k-1,1) + dx;
x(k,2) = x(k-1,2) + dy;
x(k,3) = x(k-1,3) + dz;
end
figure;
plot3(x(:,1),x(:,2),x(:,3));
grid on
%%******************************************
% -- 方程组
%%******************************************
function g=f1(x,y,z)
Omeg = 2;
ipcl = 0.5;
g = - Omeg * (ipcl * x + Omeg * y + Omeg * z);
end
function g=f2(x,y,z)
Omeg = 2;
ipcl = 0.5;
eta = 0.1; %[-1.34, 0.94]
g = Omeg * (ipcl + eta*(1-z*z + x*x/(Omeg*Omeg)))*z;
end
function g=f3(x,y,z)
g = x;
end
% ============================================================
% -- 洛伦兹方程的四阶龙格库塔函数
% ============================================================
function [dx,dy,dz] = dxdt_Lorenz(x,y,z)
h = 1e-2; %步长
K1 = f1(x,y,z);
K2 = f1(x + h*K1/2,y + h*K1/2,z + h*K1/2);
K3 = f1(x + h*K2/2,y + h*K2/2,z + h*K2/2);
K4 = f1(x + h*K3,y + h*K3, z + h*K3);
L1 = f2(x,y,z);
L2 = f2(x + h*L1/2,y + h*L1/2,z + h*L1/2);
L3 = f2(x + h*L2/2,y + h*L2/2,z + h*L2/2);
L4 = f2(x + h*L3,y + h*L3, z + h*L3);
M1 = f3(x,y,z);
M2 = f3(x + h*M1/2,y + h*M1/2,z + h*M1/2);
M3 = f3(x + h*M2/2,y + h*M2/2,z + h*M2/2);
M4 = f3(x + h*M3,y + h*M3, z + h*M3);
dx = (K1 + 2*K2 + 2*K3 + K4)*h/6;
dy = (L1 + 2*L2 + 2*L3 + L4)*h/6;
dz = (M1 + 2*M2 + 2*M3 + M4)*h/6;
end
结果如下:

使用matlab仿真 混沌张弛计量经济振荡器
浙公网安备 33010602011771号