有苦有乐的算法 --- 可能有环也可能无环的两个单链表,判断这两个链表是否相交,如果相交返回相交的第一个节点
题目
可能有环也可能无环的两个单链表,判断这两个链表是否相交,如果相交返回相交的第一个节点。
解析
第一步,判断链表是有环链表还是无环链表;
如果一个单链表无环,它一定有一个指向null的尾结点;
如果一个单链表有环,用两个指针oneStep,twoStep,twoStep一次走两个节点,oneStep一次走一个节点,这两个指针必定会相遇;
此时将twoStep重新遍历,一次走一个节点,oneStep也继续一次走一个节点,二次相遇的时候,这个节点就是入环节点。

第二步,判断是否相交;
2-1:一个单链表有环,一个单链表无环,这两个单链表一定不想交;
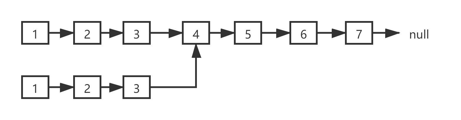
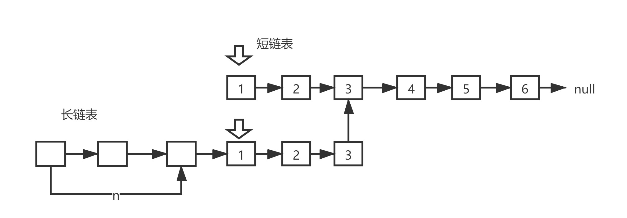
2-2:两个单链表都无环,这两个单链表尾结点相同,则说明它们相交;这两个单链表尾结点不相同,则说明它们不相交。

找相交节点:
两个单链表在遍历时,用一个变量n记录两个单链表的长度差,单链表1遍历时++,单链表2遍历时–,如果n>0说明单链表1长,如果n<0说明单链表2长,如果n=0说明1两个单链表一样长;在重新遍历两个链表,链表长的先遍历n的绝对值个节点,然后两个链表一起前进,第一个相同节点为相交的第一个节点。

2-3:两个单链表都有环,那么有三种情况:

不想交的情况:先找到一个单链表的入环节点node;然后遍历另一个单链表,如果二次到达入环节点都没有找到node,说明这两个链表不相交;如果二次到达入环节点前都找到了node,说明这两个链表相交。
入环节点前相交的情况:上面得知链表相交,如果两个单链表的入环节点相同,则说明它们入环节点前相交;
找相交节点:
如果只看开始节点到入环节点这段链表,则装换成2-2情况。

入环节点后相交的情况:上面得知链表相交,如果两个单链表的入环节点不相同,则说明它们入环节点后相交;
找相交节点:此种情况,两个入环节点都可以说是相交的第一个节点。

代码
public static class Node {
public int value;
public Node next;
public Node(int data) {
this.value = data;
}
}
public static Node getIntersectNode(Node head1, Node head2) {
if (head1 == null || head2 == null) {
return null;
}
Node loop1 = getLoopNode(head1);
Node loop2 = getLoopNode(head2);
if (loop1 == null && loop2 == null) {
return noLoop(head1, head2);
}
if (loop1 != null && loop2 != null) {
return bothLoop(head1, loop1, head2, loop2);
}
return null;
}
// 找到链表第一个入环节点,如果无环,返回null
public static Node getLoopNode(Node head) {
if (head == null || head.next == null || head.next.next == null) {
return null;
}
Node slow = head.next;
Node fast = head.next.next;
while (slow != fast) {
if (fast.next == null || fast.next.next == null) {
return null;
}
fast = fast.next.next;
slow = slow.next;
}
// slow fast 相遇
fast = head; // n2 -> walk again from head
while (slow != fast) {
slow = slow.next;
fast = fast.next;
}
return slow;
}
// 如果两个链表都无环,返回第一个相交节点,如果不想交,返回null
public static Node noLoop(Node head1, Node head2) {
if (head1 == null || head2 == null) {
return null;
}
Node cur1 = head1;
Node cur2 = head2;
int n = 0;
while (cur1.next != null) {
n++;
cur1 = cur1.next;
}
while (cur2.next != null) {
n--;
cur2 = cur2.next;
}
if (cur1 != cur2) {
return null;
}
cur1 = n > 0 ? head1 : head2;
cur2 = cur1 == head1 ? head2 : head1;
n = Math.abs(n);
while (n != 0) {
n--;
cur1 = cur1.next;
}
while (cur1 != cur2) {
cur1 = cur1.next;
cur2 = cur2.next;
}
return cur1;
}
// 两个有环链表,返回第一个相交节点,如果不想交返回null
public static Node bothLoop(Node head1, Node loop1, Node head2, Node loop2) {
Node cur1 = null;
Node cur2 = null;
if (loop1 == loop2) {
cur1 = head1;
cur2 = head2;
int n = 0;
while (cur1 != loop1) {
n++;
cur1 = cur1.next;
}
while (cur2 != loop2) {
n--;
cur2 = cur2.next;
}
cur1 = n > 0 ? head1 : head2;
cur2 = cur1 == head1 ? head2 : head1;
n = Math.abs(n);
while (n != 0) {
n--;
cur1 = cur1.next;
}
while (cur1 != cur2) {
cur1 = cur1.next;
cur2 = cur2.next;
}
return cur1;
} else {
cur1 = loop1.next;
while (cur1 != loop1) {
if (cur1 == loop2) {
return loop1;
}
cur1 = cur1.next;
}
return null;
}
}
浙公网安备 33010602011771号