有苦有乐的算法 --- 并查集的实现原理
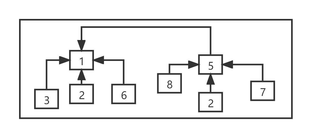
假如有两个集合:

找出一个节点作为集合的‘头’,集合内的其他节点都与这个‘头’进行关联(可以直接找到这个‘头’);

如果需要在集合A中查找一个元素是否存在,或者判断两个元素是否属于同一集合,只需判断它们的‘头’是否相同即可;
当集合B想要加入集合A时,只需让集合B的头关联集合A

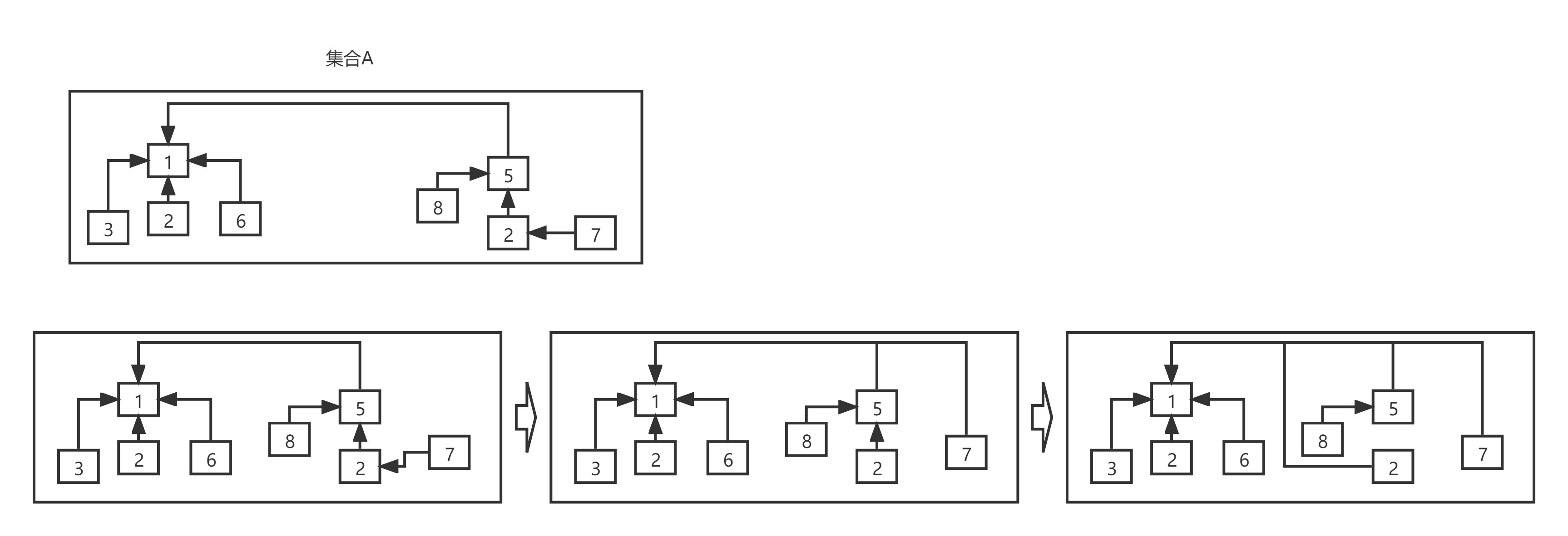
当在集合A中查找7和8是否属于同一集合时,找到最顶级的‘头’,判断是否相同;
找到最顶级的‘头’之后,将经过的节点全部与‘头’关联包括自己;
查找7的‘头’后:

查找8的‘头’后:

浙公网安备 33010602011771号