Leetcode - 25. K 个一组翻转链表
给你一个链表,每
k个节点一组进行翻转,请你返回翻转后的链表。
k是一个正整数,它的值小于或等于链表的长度。
如果节点总数不是k的整数倍,那么请将最后剩余的节点保持原有顺序。
进阶:
- 你可以设计一个只使用常数额外空间的算法来解决此问题吗?
- 你不能只是单纯的改变节点内部的值,而是需要实际进行节点交换。
示例 1:

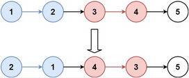
输入:head = [1,2,3,4,5], k = 2
输出:[2,1,4,3,5]
示例 2:

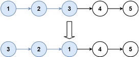
输入:head = [1,2,3,4,5], k = 3
输出:[3,2,1,4,5]
示例 3:
输入:head = [1,2,3,4,5], k = 1
输出:[1,2,3,4,5]
示例 4:
输入:head = [1], k = 1
输出:[1]
提示:
- 列表中节点的数量在范围 sz 内
- 1 <= sz <= 5000
- 0 <= Node.val <= 1000
- 1 <= k <= sz
来源:力扣(LeetCode)
链接:https://leetcode-cn.com/problems/reverse-nodes-in-k-group
著作权归领扣网络所有。商业转载请联系官方授权,非商业转载请注明出处。
解1 2021/8/29 O(n)
class ListNode:
def __init__(self, val=0, next=None):
self.val = val
self.next = next
def __repr__(self):
return '{}'.format(self.val) + (('->' + self.next.__repr__()) if self.next else '')
def reverseKGroup(head: ListNode, k: int) -> ListNode:
# 仍旧交换值,除非你判题程序能检测出来
if head is None or head.next is None: return head
l=[]
while head:
l.append(head.val)
head=head.next
len=l.__len__()
i = 0
while i<len:
x=i;y=i+k-1
while y<len and x<y:
l[x]=l[x]+l[y]
l[y]=l[x]-l[y]
l[x]=l[x]-l[y]
x+=1;y-=1
i=i+k
dummy=ListNode(-1)
tmp=dummy
for x in l:
tmp.next=ListNode(x)
tmp=tmp.next
return dummy.next
if __name__ == '__main__':
head = ListNode(1, ListNode(2, ListNode(3, ListNode(4, ListNode(5)))))
print(reverseKGroup(head,2))
head = ListNode(1, ListNode(2, ListNode(3, ListNode(4, ListNode(5)))))
print(reverseKGroup(head,3))
head = ListNode(1, ListNode(2, ListNode(3, ListNode(4, ListNode(5)))))
print(reverseKGroup(head,1))
head = ListNode(1)
print(reverseKGroup(head,1))


浙公网安备 33010602011771号