cbow&&skipgram详细
前面:关于层次huffman树和负例采样也要知道的,这里就不详细写了
来源于:https://mp.weixin.qq.com/s?__biz=MzI4MDYzNzg4Mw==&mid=2247485159&idx=1&sn=819152633c53fcae5334d031a05f7bf3&chksm=ebb43e33dcc3b725631e997132b41d34d982304c1ceb356c16b1559f92c69e6c55df009f1f8d&mpshare=1&scene=1&srcid=0823UQXmYFaNd8R09gid8c5G&key=2ae3330fddc8e50eea1a6f1a446dba6e22c4df1547f80f06454dd7dc257c3408b3fd8a793df2daef0814ffdddb04ea449089262bab967b869d44bf709cdc4f3bd471051cf0ca48d048749f03c88cd7b8&ascene=0&uin=MjM3NzI2MTEwMQ%3D%3D&devicetype=iMac+MacBookPro13%2C1+OSX+OSX+10.12+build(16A2323a)&version=12010210&nettype=WIFI&fontScale=100&pass_ticket=J6Qss31QuwUPuaYSQ2EvC0g2tE7VXzNVNeiaNQVW%2BuvqPag3hk1vixMvx3RfwnfU
一个单词,神经网络理解不了,需要人转换成数字再喂给它。最naive的方式就是one-hot,但是太过于稀疏,不好。所以在改进一下,把one-hot进一步压缩成一个dense vector。
word2vec算法就是根据上下文预测单词,从而获得词向量矩阵。
预测单词的任务只是一个幌子,我们需要的结果并不是预测出来的单词,而是通过预测单词这个任务,不断更新着的参数矩阵weights。
预测任务由一个简单的三层神经网络来完成,其中有两个参数矩阵V与U,V∈RDh*|W|,U∈R|W|*Dh。
V是输入层到隐藏层的矩阵,又被称为look-up table(因为,输入的是one-hot向量,一个one-hot向量乘以一个矩阵相当于取了这个矩阵的其中一列。将其中的每一列看成是词向量)
U是隐藏层到输出层的矩阵,又被称为word representation matrix(将其中的每一行看成是词向量)
最后需要的词向量矩阵是将两个词向量矩阵相加 =V+UT,然后每一列就是词向量。
2两种实现方法
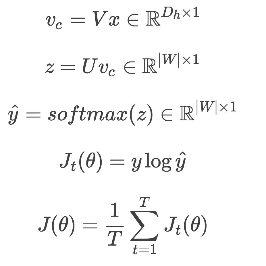
2.1. Skip-Gram
训练任务:根据中心词,预测出上下文词
输入:一个中心词(center word,x∈R|W|*1)
参数:一个look up table V∈RDh*|W|,一个word representation matrix U∈R|W|*Dh
Skip-Gram步骤图:
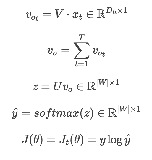
2.2. CBOW
与Skip-Gram相反,是通过完成上下文词预测中心词的任务来训练词向量的。
CBOW步骤图:

浙公网安备 33010602011771号