算法:第五、六节课动态规划
1、钢条切割
没听到
动态规划算法的复杂度有问题
计算量重叠,主定理求复杂度

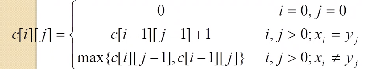
2、最长公共子序列
算法的复杂度
今天的课程钢条,最长公共子序列
一起看视频来学习???

查重



最优二叉搜索树想一下
先跳过去
3、0/1背包问题非常重要

受限于
这是一个组合问题
动态规划的题目要陈述有最优子结构,需要用反证法进行证明
01背包问题很重要



流水作业调度
二叉检索树
46、47





最后一层没有比较的操作

层数是从0开始的
路径长度+1=比较次数=层数+1
空隙节点的工作量就等于层数
节点的比较次数等于层数+1
2、最优二叉检索树的算法
关键问题
子问题边界的界定
如何把问题归结为更小的子问题
优化函数的地推方程及初值




加上wij是因为深度加上了1,xk把两棵树连到了一起,因此深度+1

这老师讲的太好了


0.17+0.17+wij




浙公网安备 33010602011771号