非确定的自动机NFA确定化为DFA
NFA 确定化为 DFA
子集法:
f(q,a)={q1,q2,…,qn},状态集的子集
将{q1,q2,…,qn}看做一个状态A,去记录NFA读入输入符号之后可能达到的所有状态的集合。
步骤:
1.根据NFA构造DFA状态转换矩阵
①确定DFA初态(NFA的所有初态集),字母表
②从初态出发,经字母表到达的状态集看成一个新状态
③将新状态添加到DFA状态集
④重复23步骤,直到没有新的DFA状态
2.画出DFA
3.看NFA和DFA识别的符号串是否一致。
练习:
1.解决多值映射:子集法
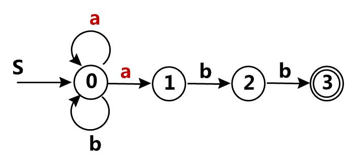
1). 发给大家的图1
NFA 确定化为 DFA
子集法:
f(q,a)={q1,q2,…,qn},状态集的子集
将{q1,q2,…,qn}看做一个状态A,去记录NFA读入输入符号之后可能达到的所有状态的集合。
步骤:
1.根据NFA构造DFA状态转换矩阵
①确定DFA初态(NFA的所有初态集),字母表
②从初态出发,经字母表到达的状态集看成一个新状态
③将新状态添加到DFA状态集
④重复23步骤,直到没有新的DFA状态
2.画出DFA
3.看NFA和DFA识别的符号串是否一致。
练习:
1.解决多值映射:子集法
1). 发给大家的图1


2). P64页练习3

2.解决空弧:对初态和所有新状态求ε-闭包
1). 发给大家的图2


2).P50图3.6


浙公网安备 33010602011771号