范数与距离的关系
1 范数
向量的范数可以简单形象的理解为向量的长度,或者向量到零点的距离,或者相应的两个点之间的距离。
向量的范数定义:向量的范数是一个函数||x||,满足非负性||x|| >= 0,齐次性||cx|| = |c| ||x|| ,三角不等式||x+y|| <= ||x|| + ||y||。
常用的向量的范数:
L0范数:L0范数并不是一个真正的范数,它主要被用来度量向量中非零元素的个数。
L1范数: ||x|| 为x向量各个元素绝对值之和。
L2范数: ||x||为x向量各个元素平方和的1/2次方,L2范数又称Euclidean范数或者Frobenius范数。
Lp范数: ||x||为x向量各个元素绝对值p次方和的1/p次方。
L∞范数: ||x||为x向量各个元素绝对值最大那个元素的绝对值,如下:
椭球向量范数: ||x||A = sqrt[T(x)Ax], T(x)代表x的转置。
定义矩阵C 为M个模式向量的协方差矩阵, 设C’是其逆矩阵,则Mahalanobis距离定义为||x||C’ = sqrt[T(x)C’x], 这是一个关于C’的椭球向量范数。
2 距离
2.1 欧式距离(对应L2范数)
最常见的两点之间或多点之间的距离表示法,又称之为欧几里得度量,它定义于欧几里得空间中。如点 x = (x1,...,xn) 和 y = (y1,...,yn) 之间的欧氏距离:


1)二维平面上两点a(x1,y1)与b(x2,y2)间的欧氏距离:
(2)三维空间两点a(x1,y1,z1)与b(x2,y2,z2)间的欧氏距离:
(3)两个n维向量a(x11,x12,…,x1n)与 b(x21,x22,…,x2n)间的欧氏距离:
(4)也可以用表示成向量运算的形式:

二维平面上两点欧式距离,代码可以如下编写:
//unixfy:计算欧氏距离 double euclideanDistance(const vector<double>& v1, const vector<double>& v2) { assert(v1.size() == v2.size()); double ret = 0.0; for (vector<double>::size_type i = 0; i != v1.size(); ++i) { ret += (v1[i] - v2[i]) * (v1[i] - v2[i]); } return sqrt(ret);
2.2 曼哈顿距离:
曼哈顿距离对应L1-范数,也就是在欧几里得空间的固定直角坐标系上两点所形成的线段对轴产生的投影的距离总和。例如在平面上,坐标(x1, y1)的点P1与坐标(x2, y2)的点P2的曼哈顿距离为:

要注意的是,曼哈顿距离依赖座标系统的转度,而非系统在座标轴上的平移或映射。
通俗来讲,想象你在曼哈顿要从一个十字路口开车到另外一个十字路口,驾驶距离是两点间的直线距离吗?显然不是,除非你能穿越大楼。而实际驾驶距离就是这个“曼哈顿距离”,此即曼哈顿距离名称的来源, 同时,曼哈顿距离也称为城市街区距离(City Block distance)。
(1)二维平面两点a(x1,y1)与b(x2,y2)间的曼哈顿距离:
(2)两个n维向量a(x11,x12,…,x1n)与 b(x21,x22,…,x2n)间的曼哈顿距离 :
2.3 切比雪夫距离
若二个向量或二个点x1和x2,其坐标分别为(x11, x12, x13, ... , x1n)和(x21, x22, x23, ... , x2n),则二者的切比雪夫距离为:d = max(|x1i - x2i|),i从1到n。对应L∞范数。
若二个向量或二个点p和q,其座标分别为及
,则两者之间的切比雪夫距离定义如下:
,
(1)二维平面两点a(x1,y1)与b(x2,y2)间的切比雪夫距离 :
(2)两个n维向量a(x11,x12,…,x1n)与 b(x21,x22,…,x2n)间的切比雪夫距离 :
这个公式的另一种等价形式是 :
2.4 闵可夫斯基距离(Minkowski Distance)
闵氏距离不是一种距离,而是一组距离的定义。对应Lp范数,p为参数。
(1) 闵氏距离的定义两个n维变量a(x11,x12,…,x1n)与 b(x21,x22,…,x2n)间的闵可夫斯基距离定义为:其中p是一个变参数。当p=1时,就是曼哈顿距离当p=2时,就是欧氏距离当p→∞时,就是切比雪夫距离
根据变参数的不同,闵氏距离可以表示一类的距离。
2.5 标准化欧氏距离 (Standardized Euclidean distance )
标准化欧氏距离是针对简单欧氏距离的缺点而作的一种改进方案。标准欧氏距离的思路:既然数据各维分量的分布不一样,那先将各个分量都“标准化”到均值、方差相等。至于均值和方差标准化到多少,先复习点统计学知识。
标准化后的值 = ( 标准化前的值 - 分量的均值 ) /分量的标准差
经过简单的推导就可以得到两个n维向量a(x11,x12,…,x1n)与 b(x21,x22,…,x2n)间的标准化欧氏距离的公式:
2.6 Mahalanobis距离
1)马氏距离定义 :有M个样本向量X1~Xm,协方差矩阵记为S,均值记为向量μ,则其中样本向量X到u的马氏距离表示为:
若协方差矩阵是单位矩阵(各个样本向量之间独立同分布),则公式就成了:,也就是欧氏距离了。
若协方差矩阵是对角矩阵,公式变成了标准化欧氏距离。
2.7 巴氏距离(Bhattacharyya Distance)
在统计中,Bhattacharyya距离测量两个离散或连续概率分布的相似性。它与衡量两个统计样品或种群之间的重叠量的Bhattacharyya系数密切相关。Bhattacharyya距离和Bhattacharyya系数以20世纪30年代曾在印度统计研究所工作的一个统计学家A. Bhattacharya命名。
同时,Bhattacharyya系数可以被用来确定两个样本被认为相对接近的,它是用来测量中的类分类的可分离性。
(1)巴氏距离的定义对于离散概率分布 p和q在同一域 X,它被定义为:其中:是Bhattacharyya系数。
对于连续概率分布,Bhattacharyya系数被定义为:在这两种情况下,巴氏距离
并没有服从三角不等式.(值得一提的是,Hellinger距离不服从三角不等式
)。
对于多变量的高斯分布,
,和是手段和协方差的分布
。
需要注意的是,在这种情况下,第一项中的Bhattacharyya距离与马氏距离有关联。
(2)Bhattacharyya系数Bhattacharyya系数是两个统计样本之间的重叠量的近似测量,可以被用于确定被考虑的两个样本的相对接近。计算Bhattacharyya系数涉及集成的基本形式的两个样本的重叠的时间间隔的值的两个样本被分裂成一个选定的分区数,并且在每个分区中的每个样品的成员的数量,在下面的公式中使用考虑样品a 和 b ,n是的分区数,并且,
被一个 和 b i的日分区中的样本数量的成员。更多介绍请参看: http://en.wikipedia.org/wiki/Bhattacharyya_coefficient。
2.8 汉明距离(Hamming distance)
两个等长字符串s1与s2之间的汉明距离定义为将其中一个变为另外一个所需要作的最小替换次数。例如字符串“1111”与“1001”之间的汉明距离为2。应用:信息编码(为了增强容错性,应使得编码间的最小汉明距离尽可能大)。
或许,你还没明白我再说什么,不急,看下图中的一道面试题目,便一目了然了。
2.9 夹角余弦(Cosine)
几何中夹角余弦可用来衡量两个向量方向的差异,机器学习中借用这一概念来衡量样本向量之间的差异。
(1)在二维空间中向量A(x1,y1)与向量B(x2,y2)的夹角余弦公式:
(2) 两个n维样本点a(x11,x12,…,x1n)和b(x21,x22,…,x2n)的夹角余弦:
![]()
类似的,对于两个n维样本点a(x11,x12,…,x1n)和b(x21,x22,…,x2n),可以使用类似于夹角余弦的概念来衡量它们间的相似程度,即:
夹角余弦取值范围为[-1,1]。夹角余弦越大表示两个向量的夹角越小,夹角余弦越小表示两向量的夹角越大。当两个向量的方向重合时夹角余弦取最大值1,当两个向量的方向完全相反夹角余弦取最小值-1。
2.10 杰卡德相似系数(Jaccard similarity coefficient)
(1) 杰卡德相似系数两个集合A和B的交集元素在A,B的并集中所占的比例,称为两个集合的杰卡德相似系数,用符号J(A,B)表示。
杰卡德相似系数是衡量两个集合的相似度一种指标。
(2) 杰卡德距离与杰卡德相似系数相反的概念是杰卡德距离(Jaccard distance)。杰卡德距离可用如下公式表示:杰卡德距离用两个集合中不同元素占所有元素的比例来衡量两个集合的区分度。
可将杰卡德相似系数用在衡量样本的相似度上。(3) 杰卡德相似系数与杰卡德距离的应用举例:样本A与样本B是两个n维向量,而且所有维度的取值都是0或1,例如:A(0111)和B(1011)。我们将样本看成是一个集合,1表示集合包含该元素,0表示集合不包含该元素。M11 :样本A与B都是1的维度的个数M01:样本A是0,样本B是1的维度的个数M10:样本A是1,样本B是0 的维度的个数M00:样本A与B都是0的维度的个数依据上文给的杰卡德相似系数及杰卡德距离的相关定义,样本A与B的杰卡德相似系数J可以表示为:这里M11+M01+M10可理解为A与B的并集的元素个数,而M11是A与B的交集的元素个数。而样本A与B的杰卡德距离表示为J':
2.11 皮尔逊系数(Pearson Correlation Coefficient)
在具体阐述皮尔逊相关系数之前,有必要解释下什么是相关系数 ( Correlation coefficient )与相关距离(Correlation distance)。
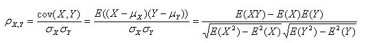
相关系数 ( Correlation coefficient )的定义是:(其中,E为数学期望或均值,D为方差,D开根号为标准差,E{ [X-E(X)] [Y-E(Y)]}称为随机变量X与Y的协方差,记为Cov(X,Y),即Cov(X,Y) = E{ [X-E(X)] [Y-E(Y)]},而两个变量之间的协方差和标准差的商则称为随机变量X与Y的相关系数,记为)
- 当相关系数为0时,X和Y两变量无关系。
- 当X的值增大(减小),Y值增大(减小),两个变量为正相关,相关系数在0.00与1.00之间。
- 当X的值增大(减小),Y值减小(增大),两个变量为负相关,相关系数在-1.00与0.00之间。
相关距离的定义是:
通常情况下通过以下取值范围判断变量的相关强度:
相关系数 0.8-1.0 极强相关
0.6-0.8 强相关
0.4-0.6 中等程度相关
0.2-0.4 弱相关
0.0-0.2 极弱相关或无相关
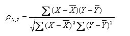
两个变量之间的皮尔逊相关系数定义为两个变量之间的协方差和标准差的商:以上方程定义了总体相关系数, 一般表示成希腊字母ρ(rho)。基于样本对协方差和方差进行估计,可以得到样本标准差, 一般表示成r:一种等价表达式的是表示成标准分的均值。基于(Xi, Yi)的样本点,样本皮尔逊系数是:其中、
及
,分别是标准分、样本平均值和样本标准差。
或许上面的讲解令你头脑混乱不堪,没关系,我换一种方式讲解,如下:假设有两个变量X、Y,那么两变量间的皮尔逊相关系数可通过以下公式计算:
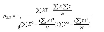
- 公式一:
注:勿忘了上面说过,“皮尔逊相关系数定义为两个变量之间的协方差和标准差的商”,其中标准差的计算公式为:
- 公式二:
- 公式三:
- 公式四:
以上列出的四个公式等价,其中E是数学期望,cov表示协方差,N表示变量取值的个数。
当两个变量的标准差都不为零时,相关系数才有定义,皮尔逊相关系数适用于:(3)如何理解皮尔逊相关系数:
- 两个变量之间是线性关系,都是连续数据。
- 两个变量的总体是正态分布,或接近正态的单峰分布。
- 两个变量的观测值是成对的,每对观测值之间相互独立。
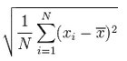
样本标准差则等于变量减掉平均数的平方和,再除以样本数,最后再开方,也就是说,方差开方即为标准差,样本标准差计算公式为:
所以, 根据这个最朴素的理解,我们可以将公式依次精简为:
其二, 按照大学的线性数学水平来理解, 它比较复杂一点,可以看做是两组数据的向量夹角的余弦。下面是关于此皮尔逊系数的几何学的解释,先来看一幅图,如下所示:
利用通常的方法计算两个向量之间的夹角 (参见 数量积), 未中心化 的相关系数是:
我们发现以上的数据特意选定为完全相关: y = 0.10 + 0.01 x。 于是,皮尔逊相关系数应该等于1。将数据中心化 (通过E(x) = 3.8移动 x 和通过 E(y) = 0.138 移动 y ) 得到 x = (−2.8, −1.8, −0.8, 1.2, 4.2) 和 y = (−0.028, −0.018, −0.008, 0.012, 0.042), 从中
(4)皮尔逊相关的约束条件
从以上解释, 也可以理解皮尔逊相关的约束条件:
- 1 两个变量间有线性关系
- 2 变量是连续变量
- 3 变量均符合正态分布,且二元分布也符合正态分布
- 4 两变量独立
在实践统计中,一般只输出两个系数,一个是相关系数,也就是计算出来的相关系数大小,在-1到1之间;另一个是独立样本检验系数,用来检验样本一致性。
3. 总结
空间:欧氏距离路径:曼哈顿距离国际象棋国王:切比雪夫距离
加权:标准化欧氏距离排除量纲和依存:马氏距离向量差距:夹角余弦编码差别:汉明距离集合近似度:杰卡德类似系数与距离相关:相关系数与相关距离
参考资料:
http://blog.csdn.net/v_july_v/article/details/8203674

浙公网安备 33010602011771号