C语言程序流程结构--C语言04
C语言程序流程结构
C语言支持最基本的三种程序运行结构:顺序结构、选择结构、循环结构
一、顺序结构
程序按顺序执行,不发生跳转。
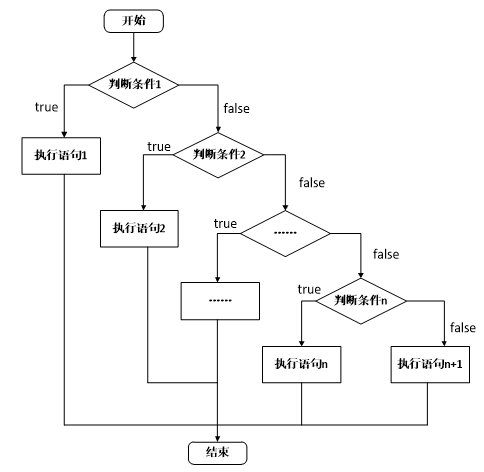
二、选择结构
依据是否满足条件,有选择的执行相应功能。
1.if语句

1 #include<stdio.h> 2 3 int main() 4 { 5 int a=1; 6 int b=2; 7 8 if(a<b) 9 { 10 printf(‘a=%d\n“,a); 11 } 12 13 return 0; 14 }
2.if...else语句

1 #include <stdio.h> 2 int main() 3 { 4 int a = 1; 5 int b = 2; 6 7 if (a > b) 8 { 9 printf("%d\n", a); 10 } 11 else 12 { 13 printf("%d\n", b); 14 } 15 16 return 0; 17 }
3.if...else if...else语句

1 #include <stdio.h> 2 3 int main() 4 { 5 unsigned int a; 6 scanf("%u", &a);//键盘录入一个无符号的10进制整形变量 7 8 if (a < 10) 9 { 10 printf("它是一位数\n"); 11 } 12 else if (a < 100) 13 { 14 printf("它是二位数\n"); 15 } 16 else if (a < 1000) 17 { 18 printf("它是三位数\n"); 19 } 20 else 21 { 22 printf("它比三位数大\n"); 23 } 24 25 return 0; 26 }
4.三目运算符
1 #include <stdio.h> 2 3 int main() 4 { 5 a = 1; 6 b = 2; 7 8 //a大于b吗?如果大于,执行:之前的语句,否则执行:之后的语句 9 c = ( a > b ? a : b ); 10 11 printf("c = %d\n", c);//输出是2 12 13 return 0; 14 } 15
5.switch语句
1 #include <stdio.h> 2 3 int main() 4 { 5 int a; 6 scanf("%d", &a); 7 8 switch (a) //参数只能是整型变量 9 { 10 case 1: 11 printf("1\n"); 12 break;//switch遇到break就中断了 13 case 2: 14 printf("2\n"); 15 break; 16 case 3: 17 printf("3\n"); 18 break;//switch遇到break就中断了 19 default://如果上面的条件都不满足,那么执行default 20 printf("反正不是1,2,3\n"); 21 } 22 return 0; 23 } 24
三、循环结构
依据条件是否满足,循环多次执行某段代码。
1.while语句

1 #include <stdio.h> 2 3 int main() 4 { 5 int a = 1; 6 while (a < 10) 7 { 8 printf("a = %d\n", a); 9 a++; 10 } 11 12 return 0; 13 } 14
2.do...while语句

1 #include <stdio.h> 2 3 int main() 4 { 5 int a = 1; 6 do 7 { 8 a++; 9 printf("a = %d\n", a); 10 } while (a < 10); 11 12 return 0; 13 }
3.for语句
1 #include <stdio.h> 2 /*for(语句1;语句2;语句3) 3 { 4 执行的代码块 5 } 6 程序执行到for语句过程: 7 开始执行语句1(语句1仅执行一次),如果语句2为真,执行代码块,执行语句3,然后 8 在执行语句2,如果语句2为真,执行代码块,执行语句3,这样循环 9 如果语句儿为假,则不会执行代码块,和语句3,程序会执行for循环之后的语句; 10 */ 11 12 int main() 13 { 14 int i; 15 int sum = 0; 16 for (i = 0; i <= 10; i++) 17 { 18 sum += i; 19 20 } 21 22 printf("sum = %d\n", sum); 23 24 return 0; 25 }
4.跳转语句
(1)break语句
在switch条件语句和循环语句中都可以使用break语句:
当它出现在switch条件语句中时,作用是终止某个case并跳出switch结构。
当它出现在循环语句中,作用是跳出当前内循环语句,执行后面的代码。
当它出现在嵌套循环语句中,跳出最近的内循环语句,执行后面的代码。
(2)continue语句
在循环语句中,如果希望立即终止本次循环,并执行下一次循环,此时就需要使用continue语句。
(3)goto语句
无条件跳转
1 #include <stdio.h> 2 3 int main() 4 { 5 goto End; //无条件跳转到End的标识 6 printf("aaaaaaaaa\n"); 7 8 End: 9 printf("bbbbbbbb\n"); 10 11 return 0; 12 }
浙公网安备 33010602011771号