运放三种增益 同反相 密勒效应(极点 带宽 Cc补偿电容 零极点 频率补偿)摆率
1. 运放的三种增益
放大器的稳定性分析-时域分析-到达目的地之前不要把钱花完_哔哩哔哩_bilibili
直接开环不稳定,会受到温度等影响
闭环增益 A越大,精度越高
不是所有的运放都可以作为buffer,如果同相只会不断震荡因为输出的电压经过一系列器件,相位会从180到360以上,导致同相,又因为放大器的存在,故结果始终震荡
在环路上有delay的元器件都会影响相位裕度
A*β就是环路增益


2. 运放的同相、反相
一定要结合虚短虚断原则分析。
输出用电阻分压反馈回输入是正相
输入有一端接地是反相
3. 密勒效应的应用
对于密勒效应,在拉扎维书162页指出了不足(忽略零点、输出电压不准、预测额外极点),但在分析高频传输函数的时候非常适用,运用极点-节点的分析方式加上密勒等效,可以把传输函数写为

的形式,进而,使各个分母为零,得到s=1/(RC)即为极点(w=1/(RC)),故上式也可以理解为
转化为

用于结合分析艾伦第166页通过传递函数分析出极点值
下图为电容的等效结果

4. 带宽(与主极点关系大,与补偿电容关系大 )(1、2指的是第几级)
在频率补偿之后,主极点向原点靠近,次极点远离远点,而对于LDO的要求就是带宽尽可能大;故产生疑问,考虑的带宽是-3db的带宽还是单位增益带宽?
首先,从效果上讲,带宽都是体现响应速度的参数,在相位裕度合理的情况下,带宽越大,响应速度越快。
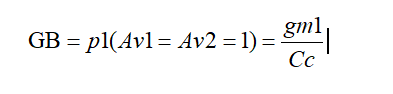
其次,从公式出发,已知补偿后的主极点公式为

当上下同乘以gm1则变换为下式

p1对应频率图形的横坐标点,而GB对应0db时的横坐标点,故当Av1=Av2=1时,p1的值即为GB(Cc为补偿电容)

故Cc越大,带宽越窄,合理地选择Cc的值使得GB小于补偿后的p2使得电路稳定(以牺牲带宽为代价换取系统稳定性)
5. Cc的选取(几点零点与GB的关系)
对应于艾伦211例题6.2-1

z1表示零点,z1需要满足(此时在是右半平面零点)

且GB远大于p1
故

且p2,z1的值如下所示

由
推出gm2>10gm1
由
推出Cc>0.22CL
6. 消除右半平面零点(增加调零电阻或者补偿电容串联一个BUFFER)
位于右半平面的零点类似于极点,其相位也会减小45°到10z1的时候降了90°(相移角度)
而从增益频率的图形上看,z1点之后直线与x轴平行直至p2(幅值角度)
故选择将补偿电容串联一个电阻,使得z1变化为
其中Rc就是调零电阻,为使零点的影响减小,考虑使z1分母为0或者当Rc>(gm2)^(-1)时,z1从右半平面变为左半平面
而调零电阻一般用线性区pmos表示(如果用nmos栅源不同电极会导致体效应)

7. 频率补偿的方式
极点分离法
零点补偿法

8. 运放的压摆率
压摆率是受什么因素影响呢? 运放的SR主要限制在内部第二级的Cc电容上。 这个电容同时也决定着运放的带宽。 那运放的压摆率,主要是由于对第二级的密勒电容充电过程的快慢所决定的。

浙公网安备 33010602011771号