【转】卷积神经网络中的感受野
原文链接:https://www.zhihu.com/collection/172241377
感受野(receptive field)可能是卷积神经网络(Convolutional Neural Network,CNNs)中最重要的概念之一,值得我们关注和学习。当前流行的物体识别方法的架构大都围绕感受野的设计。但是,当前并没有关于CNN感受野计算和可视化的完整指南。本教程拟填补空白,介绍CNN中特征图的可视化方法,从而揭示感受野的原理以及任意CNN架构中感受野的计算。我们还提供了代码实现证明计算的正确性,这样大家可以从感受野的计算开始研究CNN,从而更加深刻的理解CNN的架构。
本文假设读者已经熟悉CNN的思想,特别是卷积(convolutional)和池化(pooling)操作,当然你可以参考[1603.07285] A guide to convolution arithmetic for deep learning,回顾CNN的相关知识。如果你对CNNs已经有所了解,相信不超过半个小时就可以完成本文的阅读。实际上,本文受上述论文的启发,文中也采用了相似的表示符号。
The fixed-sized CNN feature map visualization
图1 CNN特征图可视化的两种方式。
如图1所示,我们采用卷积核C的核大小(kernel size)k=3*3,填充大小(padding size)p=1*1,步长(stride)s=2*2。(图中上面一行)对5*5的输入特征图进行卷积生成3*3的绿色特征图。(图中下面一行)对上面绿色的特征图采用相同的卷积操作生成2*2的橙色特征图。(图中左边一列)按列可视化CNN特征图,如果只看特征图,我们无法得知特征的位置(即感受野的中心位置)和区域大小(即感受野的大小),而且无法深入了解CNN中的感受野信息。(图中右边一列)CNN特征图的大小固定,其特征位置即感受野的中心位置。
感受野表示输入空间中一个特定CNN特征的范围区域(The receptive field is defined as the region in the input space that a particular CNN’s feature is looking at)。一个特征的感受野可以采用区域的中心位置和特征大小进行描述。图1展示了一些感受野的例子,采用核大小(kernel size)k=3*3,填充大小(padding size)p=1*1,步长(stride)s=2*2的卷积核C对5*5大小的输入图进行卷积操作,将输出3*3大小的特征图(绿色图)。对3*3大小的特征图进行相同的卷积操作,将输出2*2的特征图(橙色)。输出特征图在每个维度上的大小可以采用下面的公式进行计算([1603.07285] A guide to convolution arithmetic for deep learning):

为了简单,本文假设CNN的架构是对称的,而且输入图像长宽比为1,因此所有维度上的变量值都相同。若CNN架构或者输入图像不是对称的,你也可以分别计算每个维度上的特征图大小。如图1所示,左边一列展示了一种CNN特征图的常见可视化方式。这种可视化方式能够获取特征图的个数,但无法计算特征的位置(感受野的中心位置)和区域大小(感受野尺寸)。图1右边一列展示了一种固定大小的CNN特征图可视化方式,通过保持所有特征图大小和输入图大小相同来解决上述问题,接下来每个特征位于其感受野的中心。由于特征图中所有特征的感受野尺寸相同,我们就可以非常方便画出特征对应的包围盒(bounding box)来表示感受野的大小。因为特征图大小和输入图像相同,所以我们无需将包围盒映射到输入层。

图2 另外一种固定大小的CNN特征图表示。采用相同的卷积核C对7*7大小的输入图进行卷积操作,这里在特征中心周围画出了感受野的包围盒。为了表达更清楚,这里忽略了周围的填充像素。固定尺寸的CNN特征图可以采用3D(左图)或2D(右图)进行表示。
图2展示了另外一个例子,采用相同的卷积核C对7*7大小的输入图进行卷积操作。这里给出了3D(左图)和2D(右图)表示下的固定尺寸CNN特征图。注意:图2中感受野尺寸逐渐扩大,第二个特征层的中心特征感受野很快就会覆盖整个输入图。这一点对于CNN设计架构的性能提升非常重要。
感受野的计算 (Receptive Field Arithmetic)
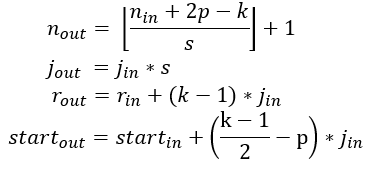
除了每个维度上特征图的个数,还需要计算每一层的感受野大小,因此我们需要了解每一层的额外信息,包括:当前感受野的尺寸r,相邻特征之间的距离(或者jump)j,左上角(起始)特征的中心坐标start,其中特征的中心坐标定义为其感受野的中心坐标(如上述固定大小CNN特征图所述)。假设卷积核大小k,填充大小p,步长大小s,则其输出层的相关属性计算如下:

- 公式一基于输入特征个数和卷积相关属性计算输出特征的个数
- 公式二计算输出特征图的jump,等于输入图的jump与输入特征个数(执行卷积操作时jump的个数,stride的大小)的乘积
- 公式三计算输出特征图的receptive field size,等于k个输入特征覆盖区域
加上边界上输入特征的感受野覆盖的附加区域
。
- 公式四计算第一个输出特征的感受野的中心位置,等于第一个输入特征的中心位置,加上第一个输入特征位置到第一个卷积核中心位置的距离
,再减去填充区域大小
。注意:这里都需要乘上输入特征图的jump,从而获取实际距离或间隔。

图3 对图1中的例子执行感受野计算。第一行给出一些符号和等式;第二行和最后一行说明给定输入层信息下输出层感受野的计算过程。
CNN的第一层是输入层,n = image size,r = 1,j = 1,start = 0.5。图3采用的坐标系中输入层的第一个特征中心位置在0.5。递归执行上述四个公式,就可以计算CNN中所有特征图中的感受野信息。图3给出这些公式计算的样例。
这里给出一个python小程序,用于计算给定CNN架构下所有层的感受野信息。程序允许输入任何特征图的名称和图中特征的索引号,输出相关感受野的尺寸和位置。图4给出AlexNet下的例子。

图4 AlexNet下感受野计算样例
# [filter size, stride, padding] #Assume the two dimensions are the same #Each kernel requires the following parameters: # - k_i: kernel size # - s_i: stride # - p_i: padding (if padding is uneven, right padding will higher than left padding; "SAME" option in tensorflow) # #Each layer i requires the following parameters to be fully represented: # - n_i: number of feature (data layer has n_1 = imagesize ) # - j_i: distance (projected to image pixel distance) between center of two adjacent features # - r_i: receptive field of a feature in layer i # - start_i: position of the first feature's receptive field in layer i (idx start from 0, negative means the center fall into padding) import math convnet = [[11,4,0],[3,2,0],[5,1,2],[3,2,0],[3,1,1],[3,1,1],[3,1,1],[3,2,0],[6,1,0], [1, 1, 0]] layer_names = ['conv1','pool1','conv2','pool2','conv3','conv4','conv5','pool5','fc6-conv', 'fc7-conv'] imsize = 227 def outFromIn(conv, layerIn): n_in = layerIn[0] j_in = layerIn[1] r_in = layerIn[2] start_in = layerIn[3] k = conv[0] s = conv[1] p = conv[2] n_out = math.floor((n_in - k + 2*p)/s) + 1 actualP = (n_out-1)*s - n_in + k pR = math.ceil(actualP/2) pL = math.floor(actualP/2) j_out = j_in * s r_out = r_in + (k - 1)*j_in start_out = start_in + ((k-1)/2 - pL)*j_in return n_out, j_out, r_out, start_out def printLayer(layer, layer_name): print(layer_name + ":") print("\t n features: %s \n \t jump: %s \n \t receptive size: %s \t start: %s " % (layer[0], layer[1], layer[2], layer[3])) layerInfos = [] if __name__ == '__main__': #first layer is the data layer (image) with n_0 = image size; j_0 = 1; r_0 = 1; and start_0 = 0.5 print ("-------Net summary------") currentLayer = [imsize, 1, 1, 0.5] printLayer(currentLayer, "input image") for i in range(len(convnet)): currentLayer = outFromIn(convnet[i], currentLayer) layerInfos.append(currentLayer) printLayer(currentLayer, layer_names[i]) print ("------------------------") layer_name = raw_input ("Layer name where the feature in: ") layer_idx = layer_names.index(layer_name) idx_x = int(raw_input ("index of the feature in x dimension (from 0)")) idx_y = int(raw_input ("index of the feature in y dimension (from 0)")) n = layerInfos[layer_idx][0] j = layerInfos[layer_idx][1] r = layerInfos[layer_idx][2] start = layerInfos[layer_idx][3] assert(idx_x < n) assert(idx_y < n) print ("receptive field: (%s, %s)" % (r, r)) print ("center: (%s, %s)" % (start+idx_x*j, start+idx_y*j))