【回归分析】[1]--协方差与相关系数

【回归分析】[1]--协方差与相关系数


回归分析的第一讲,关于协方差与相关系数。

(有些文字推到部分用图片的形式给出)---打公式好麻烦


关于最后一点:当相关系数为0时,x与y可能存在别的关系,这里举一个例子

y == 50 - x^2

去这些点,计算相关系数(使用SPSS)

可以看到 Beta = 0,及相关系数为0,但是x与y有二次关系。

mma的代码为
f[x_] := 50 - x^2;
a = Table[{i, f[i]}, {i, -7, 7}];
b = Table[f[i], {i, -7, 7}];
c = Table[i, {i, -7, 7}];
Correlation[b, c]
得到结果
可以看到计算的结果也是0

还有一个例子,可以看我以前的mma数据处理,链接:安斯库母四重奏

下面来看一个例子

{{1, 23}, {2, 29}, {3, 49}, {4, 64}, {4, 74}, {5, 87}, {6, 96}, {6, 
  97}, {7, 109}, {8, 119}, {9, 149}, {9, 145}, {10, 154}, {10, 166}}
上面是数据点

1.首先使用SPSS

画出图像

计算相关系数
可以看到相关系数为 0.994



2.使用mma来计算

可以看到计算结果是一样的

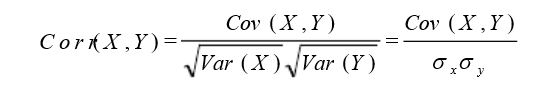
再使用下面的公式来计算一下


可以看到计算结果是一样的。


上面是关于协方差与相关系数的一些。下面列出在mma里用到的函数



*********************
协方差 (Cov)
Covariance[d1, d2]
其中 d1,d2为两组数据,可以看到函数前三个字母就是缩写

相关系数 (Corr)
Correlation[d1, d2]
基本用法同上,具体可查看帮助

*********************

以上,所有

2016/9/20


posted on 2016-09-20 12:44  WMN7Q  阅读(468)  评论(0)    收藏  举报

导航