用Python计算圆周率π
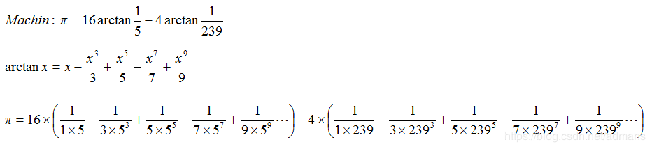
一、要求 1.要起义能计算到圆周率后面越多位越好。 2.用进度条显示计算的进度,能给出越多种进度条越好。 3.要求给出圆周率π的具体公式或者算法说明。 二、算法 1、马青公式:马青公式每计算一项可以得到1.4位的十进制精度。2、蒙特卡罗法(我们使用这种方法) 一个正方形内部相切一个圆,圆和正方形的面积之比是π/4。
在这个正方形内部,随机产生n个点(这些点服从均匀分布),计算它们与中心点的距离是否大于圆的半径,以此判断是否落在圆的内部。 统计圆内的点数,与n的比值乘以4,就是π的值。理论上,n越大,计算的π值越准 三、进度条 1、time库: (1)perf_counter( )函数,用于测量时间,返回一个CPU级别的精确时间计数值,单位为妙,由于这个计数值起点不确定,连续调用使用差值才有意义。 (2)sleep(s)函数,产生 s妙的休眠时间,可以是浮点数,如time.sleep(3.5)。 (3)time.clock()函数,统计cpu时间 的工具,这在统计某一程序或函数的执行速度最为合适。两次调用time.clock()函数的插值即为程序运行的cpu时间。 2、tqdm库:Tqdm 是一个快速,可扩展的Python进度条,可以在 Python 长循环中添加一个进度提示信息,用户只需要封装任意的迭代器 tqdm(iterator)。
步骤如下:
(1)安装tqdm
|
1
|
pip install tqd |
(2)导入tqdm库
|
1
|
from tqdm import tqdm |
(3)tqdm示例
|
1
|
for i in tqdm(range(1000000)): |
|
2
|
pass |
四、算法实现
1、time库
from random import random from time import clock DARTS=100000 hits = 0.0 a=1 clock() for i in range(1,DARTS+1): x,y = random(),random() dist = pow(x ** 2 + y ** 2,0.5) if dist<=1.0: hits = hits + 1 if i== DARTS*0.01*a : print("\r%{} [{}->{}]".format(a,'*'*a,'-'*(10-a)),end="") a+=3 pi = 4* (hits/DARTS) print("\nPi=={:.7f}".format(pi)) print("运行时间为:{:.4f}s".format(clock()))
效果如下:

2、tqdm库
from math import * from tqdm import tqdm from time import * total,s,n,t=0.0,1,1.0,1.0 clock() while(fabs(t)>=1e-6): total+=t n+=2 s=-s t=s/n k=total*4 print("π值是{:.10f} 运行时间为{:.4f}秒".format(k,clock())) for i in tqdm(range(101)): print("\r{:3}%".format(i),end="") sleep((clock())/100) #用执行程序的总时间来算出进度条间隔的时间
在这个正方形内部,随机产生n个点(这些点服从均匀分布),计算它们与中心点的距离是否大于圆的半径,以此判断是否落在圆的内部。
统计圆内的点数,与n的比值乘以4,就是π的值。理论上,n越大,计算的π值越准
三、进度条
浙公网安备 33010602011771号