机器学习是目前信息技术中最激动人心的方向之一,其应用已经深入到生活的各个层面且与普通人的日常生活密切相关。本文为清华大学最新出版的《机器学习》教材的Learning Notes,书作者是南京大学周志华教授,多个大陆首位彰显其学术奢华。
1 绪论
傍晚小街路面上沁出微雨后的湿润,和熙的细风吹来,抬头看看天边的晚霞,嗯,明天又是一个好天气。走到水果摊旁,挑了个根蒂蜷缩、敲起来声音浊响的青绿西瓜,一边满心期待着皮薄肉厚瓢甜的爽落感,一边愉快地想着,这学期狠下了工夫,基础概念弄得清清楚楚,算法作业也是信手拈来,这门课成绩一定差不了!哈哈,也希望自己这学期的machine learning课程取得一个好成绩!
1.1 机器学习的定义
正如我们根据过去的经验来判断明天的天气,吃货们希望从购买经验中挑选一个好瓜,那能不能让计算机帮助人类来实现这个呢?机器学习正是这样的一门学科,人的“经验”对应计算机中的“数据”,让计算机来学习这些经验数据,生成一个算法模型,在面对新的情况中,计算机便能作出有效的判断,这便是机器学习。
另一本经典教材的作者Mitchell给出了一个形式化的定义,假设:
- P:计算机程序在某任务类T上的性能。
- T:计算机程序希望实现的任务类。
- E:表示经验,即历史的数据集。
若该计算机程序通过利用经验E在任务T上获得了性能P的改善,则称该程序对E进行了学习。
1.2 机器学习的一些基本术语
假设我们收集了一批西瓜的数据,例如:(色泽=青绿;根蒂=蜷缩;敲声=浊响), (色泽=乌黑;根蒂=稍蜷;敲声= 沉 闷), (色泽=浅自;根蒂=硬挺;敲声=清脆)……每对括号内是一个西瓜的记录,定义:
-
所有记录的集合为:数据集。
-
每一条记录为:一个实例(instance)或样本(sample)。
-
例如:色泽或敲声,单个的特点为特征(feature)或属性(attribute)。
-
对于一条记录,如果在坐标轴上表示,每个西瓜都可以用坐标轴中的一个点表示,一个点也是一个向量,例如(青绿,蜷缩,浊响),即每个西瓜为:一个特征向量(feature vector)。
-
一个样本的特征数为:维数(dimensionality),该西瓜的例子维数为3,当维数非常大时,也就是现在说的“维数灾难”。
计算机程序学习经验数据生成算法模型的过程中,每一条记录称为一个“训练样本”,同时在训练好模型后,我们希望使用新的样本来测试模型的效果,则每一个新的样本称为一个“测试样本”。定义:
-
所有训练样本的集合为:训练集(trainning set),[特殊]。
-
所有测试样本的集合为:测试集(test set),[一般]。
-
机器学习出来的模型适用于新样本的能力为:泛化能力(generalization),即从特殊到一般。
西瓜的例子中,我们是想计算机通过学习西瓜的特征数据,训练出一个决策模型,来判断一个新的西瓜是否是好瓜。可以得知我们预测的是:西瓜是好是坏,即好瓜与差瓜两种,是离散值。同样地,也有通过历年的人口数据,来预测未来的人口数量,人口数量则是连续值。定义:
-
预测值为离散值的问题为:分类(classification)。
-
预测值为连续值的问题为:回归(regression)。
我们预测西瓜是否是好瓜的过程中,很明显对于训练集中的西瓜,我们事先已经知道了该瓜是否是好瓜,学习器通过学习这些好瓜或差瓜的特征,从而总结出规律,即训练集中的西瓜我们都做了标记,称为标记信息。但也有没有标记信息的情形,例如:我们想将一堆西瓜根据特征分成两个小堆,使得某一堆的西瓜尽可能相似,即都是好瓜或差瓜,对于这种问题,我们事先并不知道西瓜的好坏,样本没有标记信息。
定义:
-
训练数据有标记信息的学习任务为:监督学习(supervised learning),容易知道上面所描述的分类和回归都是监督学习的范畴。
-
训练数据没有标记信息的学习任务为:无监督学习(unsupervised learning),常见的有聚类和关联规则。
1.3 假设空间
- 归纳(induction):从特殊到一般的泛化过程,即从具体的事实归结出一般性规律。
- 演绎(deductionb):从一般到特殊的特化过程,即从基础原理推演出具体状况。
1.4 归纳偏好
- 归纳偏好(inductive bias)、偏好:机器学习算法在学习过程中对某种类型假设的偏好。归纳偏好可看作学习算法自身在一个可能很庞大的假设空间中对假设进行选择的启发式或价值观。
- “没有免费午餐”定理:脱离具体问题,空泛谈论“什么学习算法更好”毫无意义,因为若要考虑所有潜在的问题,则所有的学习算法都一样好。
3、线性模型
谈及线性模型,其实我们很早就已经与它打过交道,还记得高中数学必修3课本中那个顽皮的“最小二乘法”吗?这就是线性模型的经典算法之一:根据给定的(x,y)点对,求出一条与这些点拟合效果最好的直线y=ax+b,之前我们利用下面的公式便可以计算出拟合直线的系数a,b(3.1中给出了具体的计算过程),从而对于一个新的x,可以预测它所对应的y值。

3.1 线性回归
线性回归问题就是试图学到一个线性模型尽可能准确地预测新样本的输出值,例如:通过历年的人口数据预测2017年人口数量。在这类问题中,往往我们会先得到一系列的有标记数据,例如:2000-->13亿...2016-->15亿,这时输入的属性只有一个,即年份;也有输入多属性的情形,假设我们预测一个人的收入,这时输入的属性值就不止一个了,例如:(学历,年龄,性别,颜值,身高,体重)-->15k。
PS: 有时这些输入的属性值并不能直接被我们的学习模型所用,需要进行相应的处理,对于连续值的属性,一般都可以被学习器所用,有时会根据具体的情形作相应的预处理,例如:归一化等;对于离散值的属性,可作下面的处理:
-
若属性值之间存在“序关系”,则可以将其转化为连续值,例如:身高属性分为“高” “中等” “矮”,可转化为数值:{1, 0.5, 0}。
-
若属性值之间不存在“序关系”,则通常将其转化为向量的形式,例如:性别属性分为“男”“女”,可转化为二维向量:{(1,0),(0,1)}。
(1)当输入属性只有一个的时候,就是最简单的情形,也就是我们高中时最熟悉的“最小二乘法”(Euclidean distance),首先计算出每个样本预测值与真实值之间的误差并求和,通过最小化均方误差MSE,使用求偏导等于零的方法计算出拟合直线y=wx+b的两个参数w和b,计算过程如下图所示:

(2)当输入属性有多个的时候,例如对于一个样本有d个属性{(x1,x2...xd),y},则y=wx+b需要写成:

通常对于多元问题,常常使用矩阵的形式来表示数据。在本问题中,将具有m个样本的数据集表示成矩阵X,将系数w与b合并成一个列向量,这样每个样本的预测值以及所有样本的均方误差最小化就可以写成下面的形式:



同样地,我们使用最小二乘法对w和b进行估计,令均方误差的求导等于0,需要注意的是,当一个矩阵的行列式不等于0时,我们才可能对其求逆,因此对于下式,我们需要考虑矩阵(X的转置*X)的行列式是否为0,若不为0,则可以求出其解,若为0,则需要使用其它的方法进行计算,书中提到了引入正则化,此处不进行深入。

另一方面,有时像上面这种原始的线性回归可能并不能满足需求,例如:y值并不是线性变化,而是在指数尺度上变化。这时我们可以采用线性模型来逼近y的衍生物,例如lny,这时衍生的线性模型如下所示,实际上就是相当于将指数曲线投影在一条直线上,如下图所示:

更一般地,考虑所有y的衍生物的情形,就得到了“广义的线性模型”(generalized linear model),其中,g(*)称为联系函数(link function)。

3.2 线性几率回归
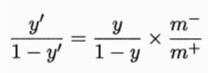
回归就是通过输入的属性值得到一个预测值,利用上述广义线性模型的特征,是否可以通过一个联系函数,将预测值转化为离散值从而进行分类呢?线性几率回归正是研究这样的问题。对数几率引入了一个对数几率函数(logistic function),将预测值投影到0-1之间,从而将线性回归问题转化为二分类问题。


若将y看做样本为正例的概率,(1-y)看做样本为反例的概率,则上式实际上使用线性回归模型的预测结果器逼近真实标记的对数几率。因此这个模型称为“对数几率回归”(logistic regression),也有一些书籍称之为“逻辑回归”。
3.3 线性判别分析
线性判别分析(Linear Discriminant Analysis,简称LDA),其基本思想是:将训练样本投影到一条直线上,使得同类的样例尽可能近,不同类的样例尽可能远。如图所示:


集合、均值向量、协方差矩阵
想让同类样本点的投影点尽可能接近,不同类样本点投影之间尽可能远,即:让各类中的协方差之和尽可能小,不同类之间中心的距离尽可能大。基于这样的考虑,LDA定义了两个散度矩阵。
- 类内散度矩阵(within-class scatter matrix)

- 类间散度矩阵(between-class scaltter matrix)

因此得到了LDA的最大化目标:“广义瑞利商”(generalized Rayleigh quotient)。

从而分类问题转化为最优化求解w的问题,当求解出w后,对新的样本进行分类时,只需将该样本点投影到这条直线上,根据与各个类别的中心值进行比较,从而判定出新样本与哪个类别距离最近。
3.4 多分类学习
现实中我们经常遇到不只两个类别的分类问题,即多分类问题,在这种情形下,我们常常运用“拆分”的策略,通过多个二分类学习器来解决多分类问题,即将多分类问题拆解为多个二分类问题,训练出多个二分类学习器,最后将多个分类结果进行集成得出结论。最为经典的拆分策略有三种:“一对一”(OvO)、“一对其余”(OvR)和“多对多”(MvM),核心思想与示意图如下所示。
-
OvO:给定数据集D,假定其中有N个真实类别,将这N个类别进行两两配对(一个正类/一个反类),从而产生N(N-1)/2个二分类学习器,在测试阶段,将新样本放入所有的二分类学习器中测试,得出N(N-1)个结果,最终通过投票产生最终的分类结果。
-
OvM:给定数据集D,假定其中有N个真实类别,每次取出一个类作为正类,剩余的所有类别作为一个新的反类,从而产生N个二分类学习器,在测试阶段,得出N个结果,若仅有一个学习器预测为正类,则对应的类标作为最终分类结果。
-
MvM:给定数据集D,假定其中有N个真实类别,每次取若干个类作为正类,若干个类作为反类(通过ECOC码给出,编码),若进行了M次划分,则生成了M个二分类学习器,在测试阶段(解码),得出M个结果组成一个新的码,最终通过计算海明/欧式距离选择距离最小的类别作为最终分类结果。


3.5 类别不平衡问题
类别不平衡(class-imbanlance)就是指分类问题中不同类别的训练样本相差悬殊的情况,例如正例有900个,而反例只有100个,这个时候我们就需要进行相应的处理来平衡这个问题。常见的做法有三种:
- 在训练样本较多的类别中进行“欠采样”(undersampling),比如从正例中采出100个,常见的算法有:EasyEnsemble。
- 在训练样本较少的类别中进行“过采样”(oversampling),例如通过对反例中的数据进行插值,来产生额外的反例,常见的算法有SMOTE。
- 直接基于原数据集进行学习,对预测值进行“再缩放”处理。其中再缩放也是代价敏感学习的基础。
![]()
![]()
![]()



浙公网安备 33010602011771号