团队作业3--需求改进&系统设计
需求改进&系统设计
| 这个作业属于哪个课程 | 班级链接 |
|---|---|
| 这个作业要求在哪里 | 作业链接 |
| 这个作业的目标 | 需求改进+系统设计 |
队员
| 学号 | 姓名 |
|---|---|
| 3119005415 | 黄奕威 |
| 3219005447 | 连婉玲 |
| 3119005417 | 黄智权 |
| 3119005431 | 欧智昕 |
| 3219005448 | 刘淑婷 |
| 3119005410 | 冯波昌 |
| 3219005445 | 何婉莹 |
1.需求&原型改进:
1.1 问题修改
问题1:游戏脚本怎么确定
修改1:通过现实世界所反映的社会问题,将其具像成一个怪物,主人公通过击败怪物来创造更美好的生活环境
问题2:这个游戏要怎样设计会更好
修改2:我们可以去借鉴市面上类似的游戏,仿照他们的设计思想,来应用到我们的项目上,这样更合乎用户体验
1.2需求规格说明书修改
文档描述缺少的地方:我们是打算以打怪通关的形式来将这款游戏呈现给用户,用最原始、朴素的游戏方式来给用户带来最好的体验,让用户们找到最初打游戏的那种愉悦
1.3功能分析的四个象限
| 外围功能 | 杀手功能 | |
|---|---|---|
| 必要需求 | 用户登录、注册;有用户和游戏界面 | 让用户在游玩的同时也能反思一些社会现象 |
| 辅助需求 | 密码、账号找回;精美的UI和动画 | 可多人同时在线、好友功能 |
1.4调整任务分解WBS

2.系统设计:
2.1系统的架构设计
本项目采用MVC的设计,如下图:

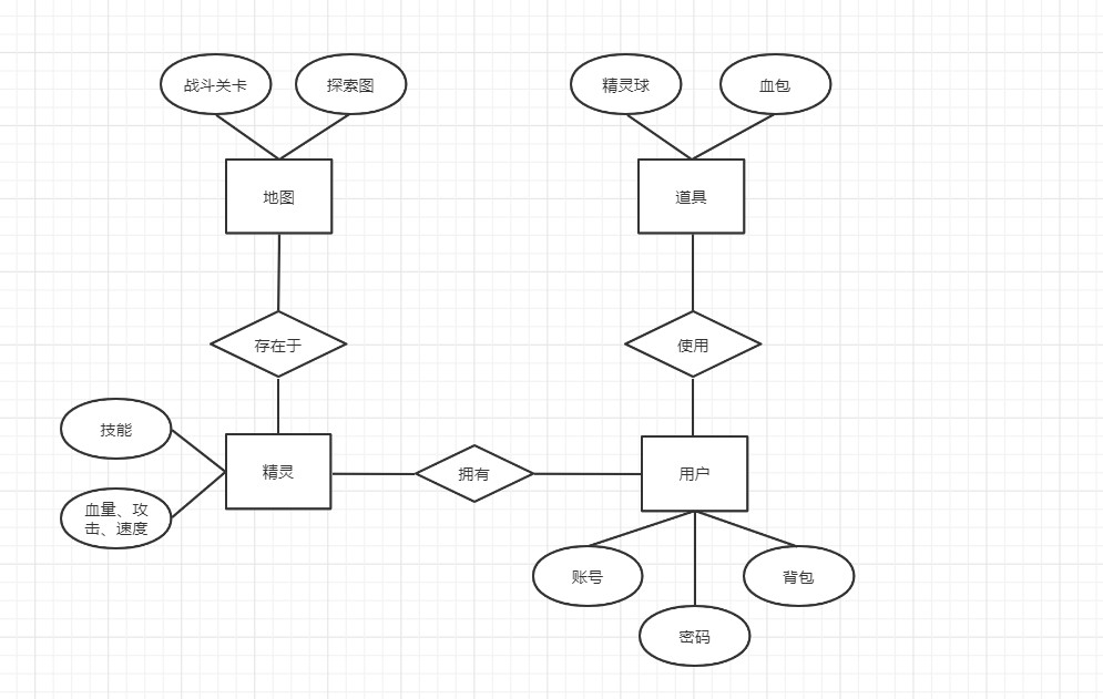
2.2完成团队项目的数据库设计,并在随笔中提供相应ER图(如果必要)
数据库设计图:

ER图:

3.Alpha任务分配计划 :
| Product Backlog | Sprint Backlog | 负责成员 |
|---|---|---|
| UI | 用户界面/战斗界面/地图界面 | 黄奕威 |
| 精灵模块 | 精灵技能、属性等相关信息完善 | 欧智昕、黄智权 |
| 地图模块 | 关卡地图和探索地图完善 | 刘淑婷 |
| 用户模块 | 用户游戏进度/用户精灵、道具背包 | 连婉玲 |
| 道具模块 | 道具完善 | 冯波昌 |
| 前后端适配 | 获取用户信息/获取精灵信息/获取探索地图 | 何婉莹 |
甘特图:

4.测试计划 :
4.1引言
为了使本项目能够正常投入使用,需要进行相应测试
4.2任务概述
对用户登录模块、战斗模块、地图模块进行测试
4.3测试策略
测试分工如下:
| 测试模块 | 负责人员 |
|---|---|
| 用户登录模块 | 黄奕威、连婉玲、何婉莹 |
| 战斗模块 | 欧智昕、黄智权、冯波昌 |
| 地图模块 | 刘淑婷 |
4.4 测试资源
队员自行模拟用户登入游戏系统进行游玩

浙公网安备 33010602011771号