泛函分析 第一章 2 距离空间的基本概念(1) 笔记

在这里插入图片描述
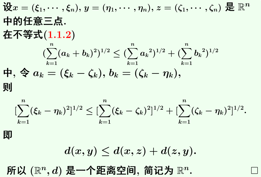
在这里插入图片描述
在这里插入图片描述
在这里插入图片描述
在这里插入图片描述
在这里插入图片描述
在这里插入图片描述

在这里插入图片描述
基本定义要清晰
在这里插入图片描述
在这里插入图片描述
在这里插入图片描述
在这里插入图片描述
只需证明三角不等式,对于 (Rn,d1)(\R^n,d_1) 来说,要证明:

d1(x,y)d1(x,z)+d1(z,y)k=1nξkηkk=1nξkζk+k=1nζkηk \begin{aligned} d_1(x,y)&\le d_1(x,z)+d_1(z,y)\\ \sum_{k=1}^n|\xi_k-\eta_k|&\le\sum_{k=1}^n|\xi_k-\zeta_k|+\sum_{k=1}^n|\zeta_k-\eta_k| \end{aligned}
根据绝对值不等式,对 k[1,n]\forall k\in[1,n],有 ξkηkξkζk+ζkηk|\xi_k-\eta_k|\le|\xi_k-\zeta_k|+|\zeta_k-\eta_k|,因此上式成立。

对于 (Rn,d)(\R^n,d_\infty) 来说,

max{ξkζk}+max{ζkηk}max{ξkζk+ζkηk}max{ξkηk} \begin{aligned} \max\{|\xi_k-\zeta_k|\}+\max\{|\zeta_k-\eta_k|\}&\ge\max\{|\xi_k-\zeta_k|+|\zeta_k-\eta_k|\}\\ &\ge \max\{|\xi_k-\eta_k|\} \end{aligned}

因此三角不等式成立。

在这里插入图片描述
首先 ll^\infty 非负、对称,仅在 x=yx=y 时为零,因此只需证三角不等式,即证:

supjN{ξjηj}supjN{ξjζj}+supjN{ζjηj} \sup_{j\in\N}\{|\xi_j-\eta_j|\}\le\sup_{j\in\N}\{|\xi_j-\zeta_j|\}+\sup_{j\in\N}\{|\zeta_j-\eta_j|\}

类似地有:

supjN{ξjζj}+supjN{ζjηj}supjN{ξjζj+ζjηj}supjN{ξjηj} \begin{aligned} \sup_{j\in\N}\{|\xi_j-\zeta_j|\}+\sup_{j\in\N}\{|\zeta_j-\eta_j|\}&\ge\sup_{j\in\N}\{|\xi_j-\zeta_j|+|\zeta_j-\eta_j|\}\\ &\ge\sup_{j\in\N}\{|\xi_j-\eta_j|\} \end{aligned}

证毕。

posted @ 2020-05-04 09:56  winechord  阅读(464)  评论(0)    收藏  举报