Convex Optimization: 3 Convex functions
这是凸优化第三章的笔记
文章目录
- Definition 定义
- Examples on R 一些例子
- Examples on and
- Restriction of a convex function to a line
- Extended-value extension
- First-order condition
- Second-order conditions
- Examples
- Epigraph and sublevel set
- Jensen’s inequality
- Operations that preserve convexity
- Positive weighted sum & composition with affine function
- Pointwise maximum
- Pointwise supremum
- Composition with scalar functions
- Vector composition
- Minimization
- Perspective
- The conjugate function
- Quasiconvex functions
- Properties
- Log-concave and log-convex functions
- Properties of log-concave functions
- Convexity with respect to generalized inequalities
Definition 定义

意思是 的 domain (定义域)
也就是说其定义域要是一个凸集
Examples on R 一些例子

Examples on and

最后一个是矩阵的最大奇异值(不是一个简单的函数),是凸的。
Restriction of a convex function to a line


老师在这里讲了个怎么证明复杂函数凸性的笑话,笑死我了…去看原视频吧
Extended-value extension

First-order condition


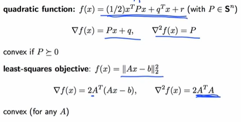
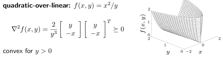
Second-order conditions

Examples



Epigraph and sublevel set


epigraph 指的是曲线上方的点集
Jensen’s inequality

Operations that preserve convexity

Positive weighted sum & composition with affine function

Pointwise maximum

Pointwise supremum


Composition with scalar functions


Vector composition

这里不能从里向外来判断凸性,首先要根据 这个函数凸的(见 second-order 的例子那里 log-sum-exp),然后再判断整体是凸的。
Minimization

Perspective


The conjugate function

Examples

Quasiconvex functions

Examples


internal rate of return 内部收益率
Properties


Log-concave and log-convex functions


正态分布的密度函数取 log 之后是一个常数减去一个凸的二次函数,因此是 concave 的
老师还讲了在任意集合上的均匀分布都是 log-concave 的,脑补一下,其概率密度在集合内是常数,在集合外是零,取 log 之后在集合内仍是常数,在集合外是负无穷,想象一下这个图像,它是 concave 的。
Properties of log-concave functions



Convexity with respect to generalized inequalities


浙公网安备 33010602011771号