会员
众包
新闻
博问
闪存
赞助商
HarmonyOS
Chat2DB
所有博客
当前博客
我的博客
我的园子
账号设置
会员中心
简洁模式
...
退出登录
注册
登录
winechord
博客园
首页
新随笔
联系
订阅
管理
stanford cs143 Compilers 3.3/4 Regular Languages / Formal Languages
文章目录
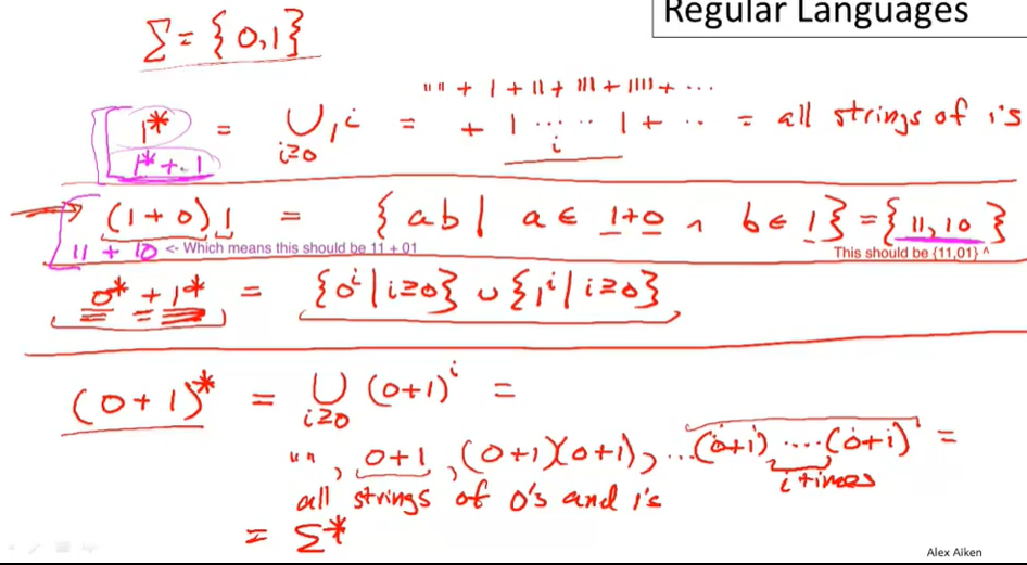
Regular Languages
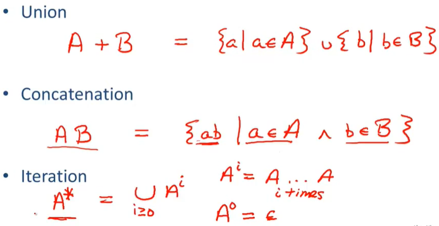
Formal Languages
Regular Languages
Formal Languages
posted @
2020-05-16 09:27
winechord
阅读(
87
) 评论(
0
)
收藏
举报
刷新页面
返回顶部
公告