会员
众包
新闻
博问
闪存
赞助商
HarmonyOS
Chat2DB
所有博客
当前博客
我的博客
我的园子
账号设置
会员中心
简洁模式
...
退出登录
注册
登录
白墨阁
远方盛大。
首页
新随笔
联系
管理
【旋转向量】
【旋转向量/轴角/角轴】
任意旋转
都可以用
一个旋转轴
和
一个旋转角
来刻画
->使用旋转向量
旋转向量定义
方向和旋转轴一致,长度等于旋转角
旋转向量的长度(模)表示绕轴逆时针旋转的角度(弧度)
旋转向量->旋转矩阵
举例
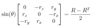
旋转矩阵->旋转向量
posted @
2025-03-08 14:54
White_ink
阅读(
34
) 评论(
0
)
收藏
举报
刷新页面
返回顶部
公告