【卡尔曼滤波器】
【卡尔曼滤波】
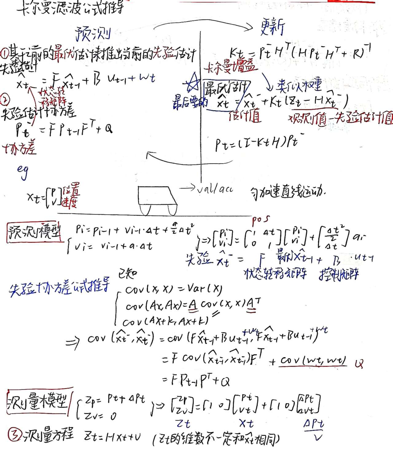
【重要!】五个公式

【重要!】公式总结

【重要!】卡尔曼模型使用步骤

Q 更信任观测值
R 更信任估计值
若更信任观测值:曲线毛刺会多
若更信任估计值:响应速度会慢
—————————————以下为看课笔记—————————————
适用系统:线性高斯系统
线性

高斯
噪声满足正态分布
宏观意义:滤波即加权

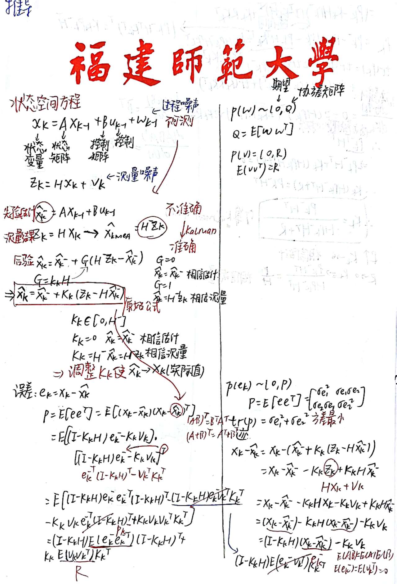
状态空间表达式

高斯分布

参数分析
参数

方差 (没看懂QAQ)


超参数:靠调出来
卡尔曼滤波主要调
Q 过程噪声方差
R 观测噪声方差
直观理解

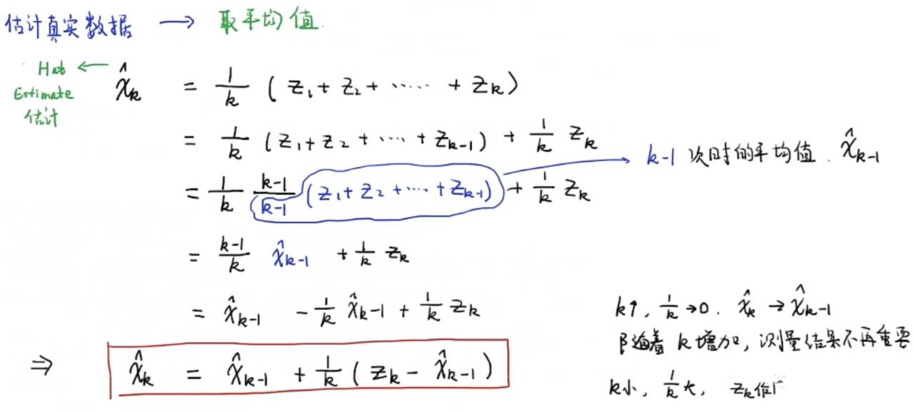
卡尔曼公式理解
宏观过程
使用上一次的最优结果预测当前的值
同时使用观测值修正当前值,得到最优结果


公式推导(看看就好)
前置知识


最优估计和卡尔曼增益


误差协方差


公式介绍(看看就好)


调节超参数
(1)Q和R
(2)P0和x0

模型举例
基于高度的视觉跟随




->卡尔曼公式




浙公网安备 33010602011771号