Loading

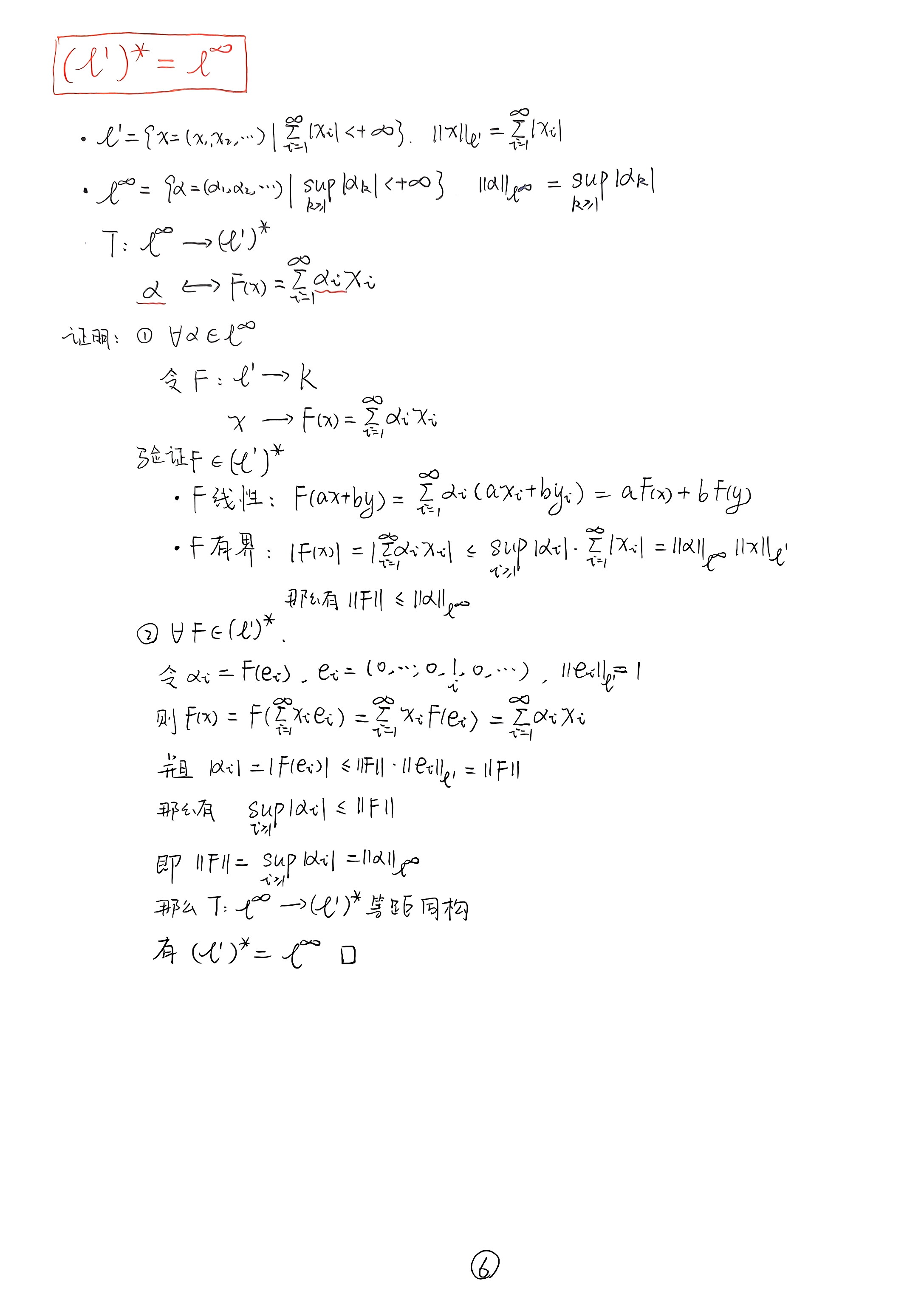
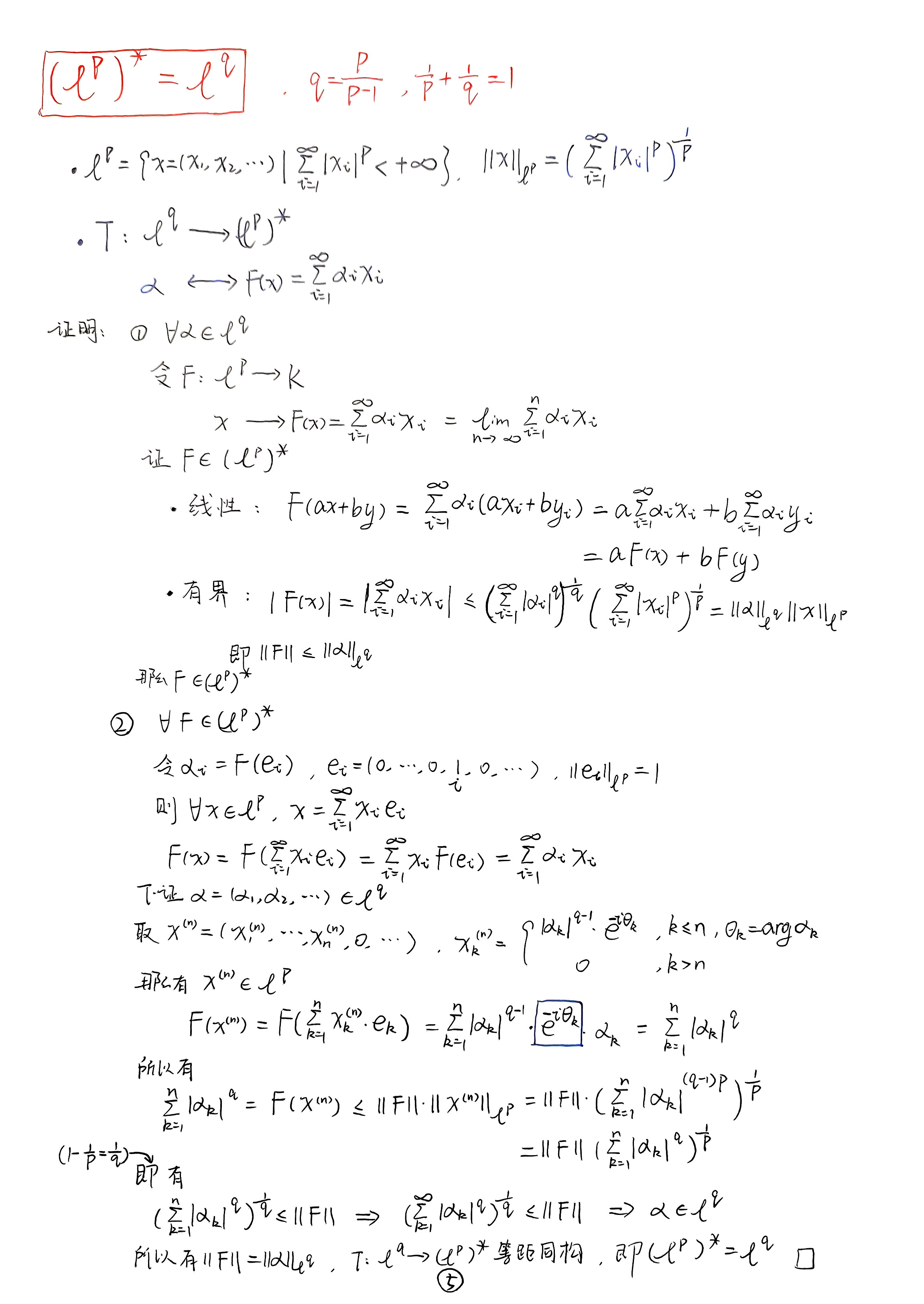
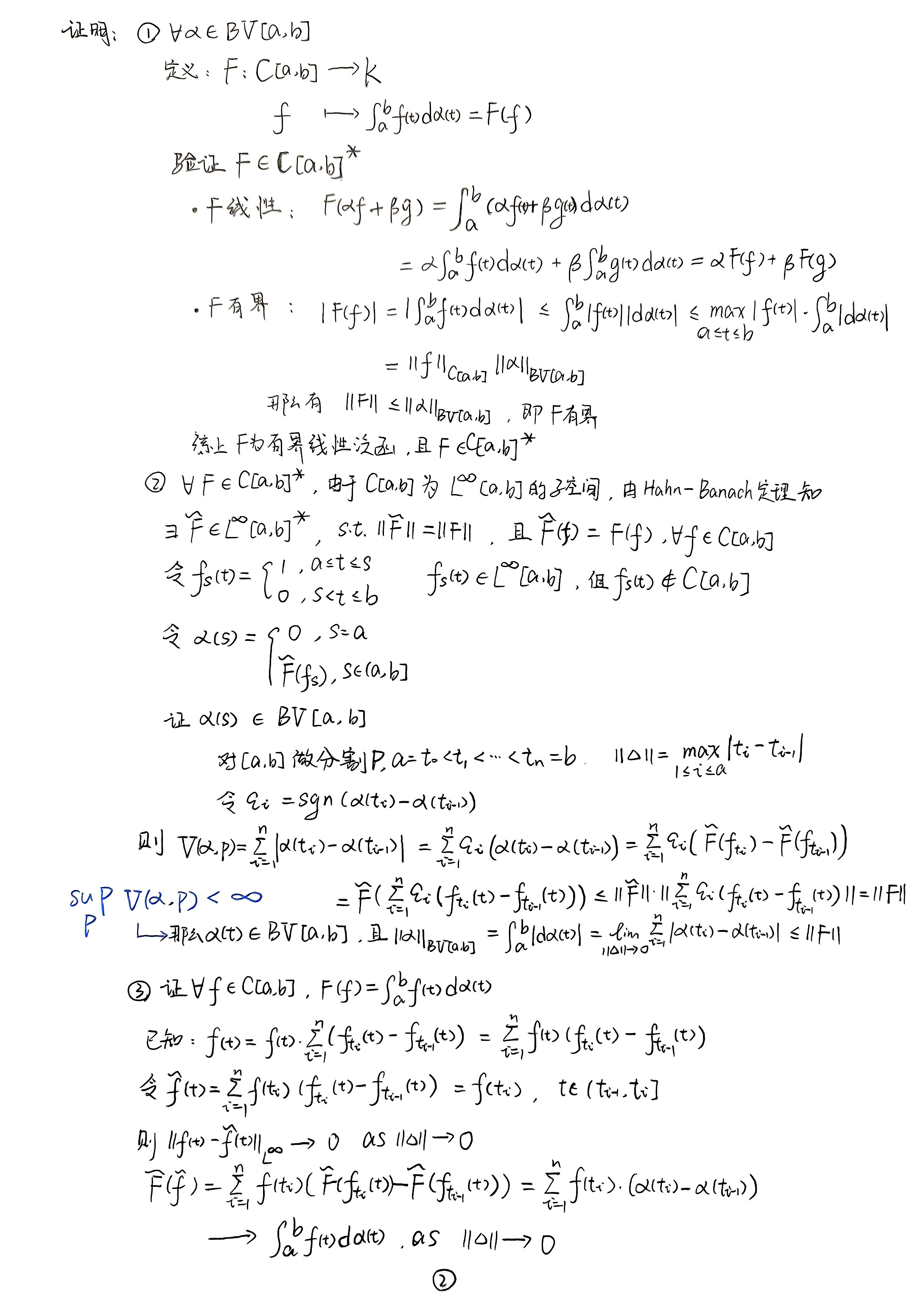
常见共轭空间

常见共轭空间

扫描件_J共轭空间定义共轭空间设X县一个赋范空间_006 扫描件_J共轭空间定义共轭空间设X县一个赋范空间_005 扫描件_J共轭空间定义共轭空间设X县一个赋范空间_004 扫描件_J共轭空间定义共轭空间设X县一个赋范空间_003 扫描件_J共轭空间定义共轭空间设X县一个赋范空间_002 扫描件_J共轭空间定义共轭空间设X县一个赋范空间_001
posted @ 2024-12-30 16:51  Mercury_x  阅读(70)  评论(0)    收藏  举报