LK光流金字塔算法原理及C++实现

光流跟踪算法,通常应用于连续时间序列图像的点追踪。当图像序列之间存在运动时,相同部位的点在不同图像上将处于不同的坐标位置,使用光流跟踪算法可以追踪相同部位的点在不同图像上分别运动到什么位置。光流算法可以分为稠密光流算法和稀疏光流算法,顾名思义,前者追踪图像中所有点的运动,后者仅追踪部分特征点的运动。

LK金字塔光流算法是一种经典的稀疏光流算法,该算法有三个假设条件:亮度恒定、小运动、邻域空间一致。图像越满足这三个条件,算法的跟踪效果就越好。本文在原算法的基础上尝试作一点改进,使得跟踪效果更准确更稳定。下面详细讲解该算法的原理,接着尝试进行改进,并使用C++与Opencv来实现算法。

LK光流金字塔算法首先计算图像金字塔,如下图所示,原图像是第0层图像,通过对第0层图像进行高斯卷积(也即高斯滤波)和向下采样(删除所有的偶数行与列)得到第1层图像,再对第1层图像进行高斯卷积和向下采样得到第2层图像……以此类推,一直计算得到最顶层图像,即尺寸分辨率最小的图像。


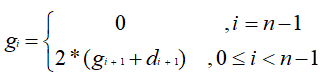
光流即待跟踪点与跟踪点的坐标偏移,每一层金字塔图像都有一个初始光流g和一个剩余光流d,从最顶层往下开始逐层计算,假设有n层金字塔(最顶层为第n-1层),则每层金字塔的初始光流计算如下所示。

初始光流g决定初始跟踪点,剩余光流d在初始跟踪点的基础上进行迭代优化,获取精确跟踪点。剩余光流d的计算思路为:取参考图像I上待跟踪点和浮动图像J上跟踪点的邻域窗口作平方差,当邻域窗口的平方差最小,则认为得到了精确的剩余光流,也即跟踪到了对应位置的点,如下图所示。

  

假设待跟踪点坐标为(ux,uy),邻域窗口大小为wx*wy,光流为(dx,dy),则待跟踪点与跟踪点的邻域窗口平方差可如下式表示:

对上式的d求偏导:

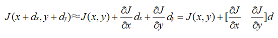
因为是小运动,dx和dy都很小,故对J(x+dx,y+dy)进行泰勒展开并略去高阶项得到:

于是有:

记:

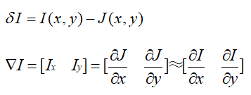
上式中,由于dx和dy都很小,把浮动图像J对x和y的梯度近似替换为参考图像I对x和y的梯度。因为后者在迭代优化过程中是固定不变的,这样就可以避免在每一轮迭代中都计算梯度,可减少很多计算时间。

于是有:

对以上等式两边取倒置得到:

再记:

当满足下式时,邻域窗口的平方差最小:


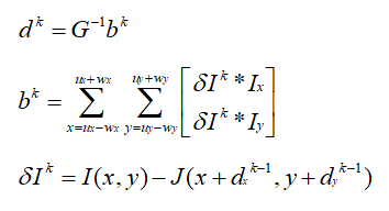
计算出d之后,根据d移动浮动图像上的跟踪点,在此基础上重复上述计算过程进行迭代优化,直到满足给定精度或达到最大迭代次数为止。迭代过程中,[Ix Iy]是不变的,故G保持不变,但因为δI与上一轮得到的光流有关,b在每轮迭代中是变化的。假设第k轮迭代得到的光流为dk=(dxk,dyk),第k-1轮迭代得到的光流为dk-1=(dxk-1,dyk-1),那么有:

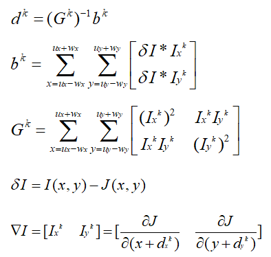
以上计算过程中,δI实际上是参考图像I上待跟踪点与浮动图像J上相同坐标点的像素差,且▽I实际上是浮动图像J上点的梯度。但原算法为了减小计算时间,在迭代计算过程中,使用参考图像的梯度来代替浮动图像的梯度,并且δI改为取参考图像上待跟踪点与浮动图像上跟踪点的像素差。当参考图像与浮动图像之间的运动偏移很大时,就不再适合使用浮动图像的梯度来近似替代参考图像的梯度了,所以这种情况下跟踪效果会受很大影响。本文为解决此问题,将δI与▽I的计算还原回去,如下图所示,此时δI取领域块A与邻域块B的像素差值,▽I取邻域块C的梯度。

由此,在迭代过程中δI取相同坐标点的像素差并保持不变,▽I取浮动图像中跟踪点的梯度,此时G和b都会随着▽I的改变而变化,第k轮的迭代计算如下式所示:

下面上代码,基于C++与Opencv实现。

计算图像金字塔代码:

typedef float DTYPE_FD;
typedef unsigned char DTYPE;


//获取图像高斯金字塔
void build_gauss_Pyramid_cuda(Mat src, DTYPE *gauss_Pyramid, int num) 
{
  memcpy(gauss_Pyramid, (DTYPE *)src.data, src.rows*src.cols*sizeof(DTYPE));   //先把第0层的原图拷贝进去
  Mat currentMat = src.clone();
  int len_x = src.cols;
  int len_y = src.rows;
  int img_size = src.rows*src.cols;
  int offset = 0;
  for (int i = 0; i < num; i++) 
  {
    Mat nextLayer;
    offset += img_size;
    img_size >>= 2;
    len_x >>= 1;
    len_y >>= 1;
    pyrDown(currentMat, nextLayer, Size(len_x, len_y));
    memcpy(gauss_Pyramid+offset, (DTYPE *)nextLayer.data, img_size*sizeof(DTYPE));
    currentMat = nextLayer.clone();
  }
}

计算图像高斯金字塔的梯度代码:

//分别计算单帧图像的x,y方向的梯度
void cal_gradient(DTYPE *src, int row, int col, DTYPE_FD *Fx, DTYPE_FD *Fy)
{
  int index;
  //计算x方向的首列和尾列梯度, i = 0~row-1, j = 0, col-1
  for(int i = 0; i < row; i++)
  {
    index = i*col;
    Fx[index] = (DTYPE_FD)(src[index+1] - src[index]);   //首列
    Fx[index+col-1] = (DTYPE_FD)(src[index+col-1] - src[index+col-2]);    //尾列
  }


  //计算y方向的首行和尾行梯度, i = 0, row-1, j = 0~col-1
  for(int j = 0; j < col; j++)
  {
    Fy[j] = (DTYPE_FD)(src[col+j] - src[j]);   //首行
    index = (row-1)*col;
    Fy[index+j] = (DTYPE_FD)(src[index+j] - src[index-col+j]);    //尾行
  }


  for(int i = 1; i < row-1; i++)
  {
    for(int j = 1; j < col-1; j++)
    {
      index = i*col+j;
      Fx[index] = (src[index+1] - src[index-1])/2.0;
      Fy[index] = (src[index+col] - src[index-col])/2.0;
    }
  }
}


//获取图像高斯金字塔的梯度,row和col为原图尺寸
void cal_gauss_Pyramid_gradient_cuda(DTYPE *gauss_Pyramid, int row, int col, DTYPE_FD *Fx, DTYPE_FD *Fy, int num) 
{
  cal_gradient(gauss_Pyramid, row, col, Fx, Fy);   //计算第0层的梯度,Fx和Fy也是金字塔,是多层图像的梯度
  int len_x = col;
  int len_y = row;
  int img_size = len_x*len_y;
  int offset = 0;
  for (int i = 0; i < num; i++) 
  {
    offset += img_size;
    img_size >>= 2;
    len_x >>= 1;
    len_y >>= 1;
    cal_gradient(gauss_Pyramid+offset, len_y, len_x, Fx+offset, Fy+offset);     //Fx和Fy也是金字塔,是多层图像的梯度
  }
}

计算参考图像与浮动图像的高斯金字塔图像的像素差值图代码:

//计算前后帧的高斯金字塔的差值
void cal_diff(DTYPE *pre_gauss_Pyramid, DTYPE *cur_gauss_Pyramid, int length, DTYPE_FD *diff)
{
  for(int i = 0; i < length; i++)
  {
    diff[i] = (DTYPE_FD)(pre_gauss_Pyramid[i] - cur_gauss_Pyramid[i]);
  }
}

改进的LK金字塔光流算法实现代码:

vector<Point2f> lk_track_ori1(Mat preFrame, Mat curFrame, vector<Point2f> keyPoints, vector<uchar> &status, int maxPyramidLayer, int maxIteration, int winsize, DTYPE_FD opticalflowResidual)
{
  
  status.clear();


  int gaussian_len = get_gauss_Pyramid_memory_len(preFrame.rows, preFrame.cols, maxPyramidLayer);   //总共maxPyramidLayer+1层
  DTYPE *pre_gauss_Pyramid_memory = (DTYPE *)malloc(gaussian_len);
  DTYPE *cur_gauss_Pyramid_memory = (DTYPE *)malloc(gaussian_len);
  DTYPE_FD *cur_Fx = (DTYPE_FD *)malloc(gaussian_len / sizeof(DTYPE) * sizeof(DTYPE_FD));
  DTYPE_FD *cur_Fy = (DTYPE_FD *)malloc(gaussian_len / sizeof(DTYPE) * sizeof(DTYPE_FD));
  DTYPE_FD *diff = (DTYPE_FD *)malloc(gaussian_len / sizeof(DTYPE) * sizeof(DTYPE_FD));


  build_gauss_Pyramid_cuda(preFrame, pre_gauss_Pyramid_memory, maxPyramidLayer);   //计算图像金字塔
  build_gauss_Pyramid_cuda(curFrame, cur_gauss_Pyramid_memory, maxPyramidLayer);
  cal_gauss_Pyramid_gradient_cuda(cur_gauss_Pyramid_memory, curFrame.rows, curFrame.cols, cur_Fx, cur_Fy, maxPyramidLayer);


  cal_diff(pre_gauss_Pyramid_memory, cur_gauss_Pyramid_memory, gaussian_len / sizeof(DTYPE), diff);


  vector<Point2f> tPoints;
  int width, height;
  DTYPE_FD delta[2];


  const int winsize_2_1 = 2 * winsize + 1;
  const int img_size = preFrame.rows*preFrame.cols;


  DTYPE_FD *dd = (DTYPE_FD *)malloc(winsize_2_1*winsize_2_1 * sizeof(DTYPE_FD));
  float coeff[16];


  const DTYPE_FD maxPyramidLayer_coeff = (float)(1. / (1 << maxPyramidLayer));


  
  for (unsigned int i = 0; i < keyPoints.size(); i++)
  {
    DTYPE_FD g[2] = { 0 };
    bool isValid = true;


    float prePoint_x;   //最顶层的初始跟踪点
    float prePoint_y;
    prePoint_x = keyPoints[i].x*maxPyramidLayer_coeff;
    prePoint_y = keyPoints[i].y*maxPyramidLayer_coeff;
    
    for (int j = maxPyramidLayer; j >= 0; j--)
    {


      //int offset = get_gauss_Pyramid_memory_offset_size(preFrame.rows, preFrame.cols, j); //, height, width);
      int offset = (j > 0) ? ((int)(img_size*(4 - 1.0 / (1 << (2 * j - 2))) / 3.0)) : 0;
      height = preFrame.rows >> j;  //row/pow(2.0, index);
      width = preFrame.cols >> j;   //col/pow(2.0, index);
                      
      DTYPE_FD *fx = &cur_Fx[offset];
      DTYPE_FD *fy = &cur_Fy[offset];
      DTYPE_FD *d = &diff[offset];
      
      


      DTYPE_FD x, y, curX, curY, ix, iy;
      for (int t1 = -winsize; t1 <= winsize; t1++)    //row
      {
        for (int t2 = -winsize; t2 <= winsize; t2++)    //col
        {
          x = prePoint_x + t2;
          y = prePoint_y + t1;


          int floorRow = floor(y);   //δI=A(x,y)-B(x,y),而不是δI=A(x,y)-B(x+Δx,y+Δy),所以这样做会更准确一点
          int floorCol = floor(x);
          //双线性插值
          int ceilRow = floorRow + 1;
          int ceilCol = floorCol + 1;


          if (floorCol >= 0 && floorCol < width - 1 && floorRow >= 0 && floorRow < height - 1)
          {
            DTYPE_FD fracRow = y - floorRow;
            DTYPE_FD fracCol = x - floorCol;


            float k0 = 1.0 - fracRow;
            float k1 = 1.0 - fracCol;


            dd[(t1 + winsize)*(2 * winsize + 1) + t2 + winsize] = (k0*k1*d[floorRow*width + floorCol] + fracRow*k1*d[ceilRow*width + floorCol]
              + k0*fracCol*d[floorRow*width + ceilCol] + fracRow*fracCol*d[ceilRow*width + ceilCol]);
          }
          else
          {
            dd[(t1 + winsize)*(2 * winsize + 1) + t2 + winsize] = 0;
          }
        }
      }


      DTYPE_FD v[2] = { 0 };  //[x y]
      int iterCount = 0;
      DTYPE_FD residual;


      while (iterCount < maxIteration)    //迭代计算剩余光流
      {
        iterCount++;


        DTYPE_FD G[4] = { 0 };    //[Ix*Ix, Ix*Iy, Ix*Iy, Iy*Iy]
        DTYPE_FD b[2] = { 0 };  //[x y]


        for (int t1 = -winsize; t1 <= winsize; t1++)    //row
        {
          for (int t2 = -winsize; t2 <= winsize; t2++)    //col
          {
            x = prePoint_x + t2;
            y = prePoint_y + t1;


            curX = x + g[0] + v[0];   //这里需注意:后一帧图像的点坐标是变化的
            curY = y + g[1] + v[1];


            /插值//


            int floorRow = floor(curY);
            int floorCol = floor(curX);


            if (floorCol >= 0 && floorCol < width - 1 && floorRow >= 0 && floorRow < height - 1)
            {
              int ceilRow = floorRow + 1;
              int ceilCol = floorCol + 1;


              DTYPE_FD fracRow = curY - floorRow;
              DTYPE_FD fracCol = curX - floorCol;


              DTYPE_FD k0 = 1.0 - fracRow;
              DTYPE_FD k1 = 1.0 - fracCol;
              DTYPE_FD a0 = k0*k1;
              DTYPE_FD a1 = fracRow*k1;
              DTYPE_FD a2 = k0*fracCol;
              DTYPE_FD a3 = fracRow*fracCol;


              int idx0 = floorRow*width + floorCol;
              int idx1 = ceilRow*width + floorCol;
              int idx2 = floorRow*width + ceilCol;
              int idx3 = ceilRow*width + ceilCol;


              ix = a0 * fx[idx0] + a1 * fx[idx1] + a2 * fx[idx2] + a3 * fx[idx3];
              iy = a0 * fy[idx0] + a1 * fy[idx1] + a2 * fy[idx2] + a3 * fy[idx3];


            }
            else
            {
              ix = 0;
              iy = 0;
            }


            G[0] += ix * ix;    //计算G
            G[1] += ix * iy;
            G[3] += iy * iy;


            int idx = (t1 + winsize)*winsize_2_1 + t2 + winsize;
            b[0] += dd[idx] * ix;    //计算b
            b[1] += dd[idx] * iy;
          }
        }
        G[2] = G[1];


        DTYPE_FD abs_G = 1.f / (G[0] * G[3] - G[1] * G[2]);    //求矩阵的行列式的倒数


        delta[0] = (G[3] * b[0] - G[2] * b[1])*abs_G;
        delta[1] = (-G[1] * b[0] + G[0] * b[1])*abs_G;


        v[0] += delta[0];
        v[1] += delta[1];


        residual = delta[0] * delta[0] + delta[1] * delta[1];


        if (residual <= opticalflowResidual*opticalflowResidual)
          break;
      }
      
      if (iterCount >= maxIteration)
      {
        isValid = false;
        break;
      }


      if (j == 0)
      {
        g[0] += v[0];  //最终光流
        g[1] += v[1];
      }
      else
      {
        g[0] = 2 * (g[0] + v[0]);  //金字塔中间层光流
        g[1] = 2 * (g[1] + v[1]);
      }


      prePoint_x = prePoint_x*2.f;    //下一层的初始跟踪点,迭代的时候已经加上了猜测光流,所以此处不需要再加了
      prePoint_y = prePoint_y*2.f;


    }
    
    Point2f dstPoint(keyPoints[i].x + g[0], keyPoints[i].y + g[1]);  //得到跟踪点
    tPoints.push_back(dstPoint);


    if (isValid && dstPoint.x >= 0 && dstPoint.x < curFrame.cols && dstPoint.y >= 0 && dstPoint.y < curFrame.rows)
    {
      status.push_back(1);
    }
    else
    {
      status.push_back(0);
    }


  }


  free(pre_gauss_Pyramid_memory);
  free(cur_gauss_Pyramid_memory);
  free(cur_Fx);
  free(cur_Fy);
  free(diff);
  free(dd);


  return tPoints;
}

设置相同的参数,分别运行以上代码和Opencv实现的LK光流金字塔算法接口calcOpticalFlowPyrLK,对运动图像进行追踪,对比结果如下。可以看到,当参考图像与浮动图像的运动偏移较小时,Opencv实现的原算法与本文C++实现的算法,跟踪效果都很好,但是当运动偏移较大时,Opencv实现原算法的跟踪结果中,误跟踪点明显增多,然而本文C++实现算法的跟踪效果还是比较好的。因此改进之后算法对大运动具有更好的适应性了。

参考图像

偏移浮动图像

偏移浮动图像

Opencv calcOpticalFlowPyrLK函数追踪偏移图像

上述C++实现代码追踪偏移图像

Opencv calcOpticalFlowPyrLK函数追踪偏移图像

上述C++实现代码追踪偏移图像

微信公众号如下,欢迎关注,欢迎留言:


posted @ 2020-12-09 21:58  萌萌哒程序猴  阅读(1621)  评论(0)    收藏  举报