Problem Description
Are you excited when you see the title “AC” ? If the answer is YES , AC it ;

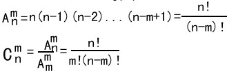
You must learn these two combination formulas in the school . If you have forgotten it , see the picture.

Now I will give you n and m , and your task is to calculate the answer .

Input
In the first line , there is a integer T indicates the number of test cases.
Then T cases follows in the T lines.
Each case contains a character ‘A’ or ‘C’, two integers represent n and m. (1<=n,m<=10)

Output
For each case , if the character is ‘A’ , calculate A(m,n),and if the character is ‘C’ , calculate C(m,n).
And print the answer in a single line.

Sample Input
2
A 10 10
C 4 2

Sample Output
3628800
6

题意:很简单,看图片就能理解了。
水题一个!就不多解释了。

import java.util.Scanner;

public class Main{
    public static void main(String[] args) {
        Scanner sc = new Scanner(System.in);
        int t = sc.nextInt();
        while(t-->0){
            String str = sc.next();
            int n = sc.nextInt();
            int m =sc.nextInt();

            if(str.charAt(0)=='A'){
                System.out.println(a(n,m));
            }else{
                System.out.println(c(n,m));
            }

        }

    }

    private static int c(int n, int m) {
        int num =1;
        if(n-m>m){
            m=n-m;
        }
        int cnum=1;
        for(int i=1;i<=n-m;i++){
            cnum=cnum*i;
        }
        for(int i=m+1;i<=n;i++){
            num=num*i;
        }
        return num/cnum;
    }

    private static int a(int n, int m) {
        int num=1;
        for(int i=n-m+1;i<=n;i++){
            num=num*i;
        }
        return num;
    }
}
posted on 2016-04-19 16:54  cnxo  阅读(154)  评论(0)    收藏  举报