2019年美赛O奖完整论文A题学习赏析
模型: 1. the Dragon's Weight Logistic Growth Model
2. the Dragon's Fire Chemical Kinetics Model
3. the Dragon-Sheep-Habitat Model
问题核心:
1. 分析龙的物理特征,估计它每天的能量消耗和最低的卡路里摄入量。
2. 考察龙的出现对现实世界生态环境的影响,确定龙的生存区域、生态条件和生态程度。满足其必需生存条件的生物群落。
3.和其他动物一样,龙会随着当地气温的变化而迁移到不同的地方。因此,我们需要评估生活在干旱地区、暖温带地区和北极地区的它们在生命需求方面的差异。
假设条件:
1. 龙的生长符合基本的生物规律。
2. 龙是恒温动物,体温不受环境影响。
3.龙可以飞行和承受巨大的创伤,它不会轻易死于物理、化学和生物攻击。
4. 龙每天摄取的能量至少能满足其维持主要生命活动和生长所需的能量消耗。
5. 我们假设龙的出生长度是30-40厘米。
6. 一旦龙进入一个生态系统,它立即成为顶级掠食者。然而,它不会对生物圈造成灾难性的破坏。此外,人类可以有效地控制龙。
变量设定:

对于龙生理条件的分析:
生活地段:温暖(25℃)气候良好,食物充足
假定:成年龙长度重量基本一定且不能再生长 忽略环境对于龙生长的重量长度的影响
新生龙能够健康生长
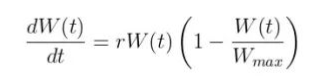
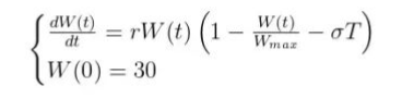
体重增长式

由于龙的体重有上限

考虑环境等因素对于龙体重的影响

初生龙体重设定为30



由于明年龙的体重在30 - 40公斤之间,我们假设龙的体重增长率是一个常数。根据全年龙的体重变化,我们计算出龙的体重增长率。



龙可以被视为一个弹性圆柱体

C:向下弯曲度(m)
W:龙的质量(m)
S:侧面面积(m^2)
D:直径(m)
k:比例系数


推出:

假设幼龙的长度是从0.7 ~ 0.9 m。结合幼龙体重可计算出秤系数K约为15.24kg/m ~ 41.65kg/m。由于成熟龙的体重约为15吨
成熟龙的长度约为4.35 ~ 5.63m。我们选择0.8m作为龙的初始长度。
得到图像:

通过研究北方人、冰原狼和麻雀的生活需求,大概推出龙的生活需求。

由于龙火可以不完全蒸发铁,假设龙火温度为铁的沸点温度上下:2862℃
与其他相关燃料的对比:

ether:乙醚

因此,我们可以构建龙的喷火器官结构,由提供浓硫酸的腺体A、提供无水乙醇的腺体B、作为反应容器的腺体C组成。
腺体C内部的高压和催化剂可以促进反应,使生成的醚保持液态,易于储存,提高了燃点。括约肌是控制乙醚排泄的阀门。
当括约肌收紧时,乙醚锁在腺体C中。当括约肌放松时,随着空气的进入,腺体C的压力迅速下降。最后,乙醚从阀门中蒸发和喷射。
将气态醚与特殊催化剂混合,与空气中的氧气反应生成二氧化碳和水,燃点降低到环境温度以下。然后释放出大量的热量。腺体结构示意图。

腺体中的硫酸是由胃酸和含硫氨基酸(蛋氨酸、胱氨酸、半胱氨酸)在催化剂作用下产生的,其中蛋氨酸需要从肉中获得。
这也解释了为什么龙需要消耗大量的肉来维持燃料的生产。乙醇是碳水化合物分解的中间产物。
估算龙喷火能耗:
通过乙醚的燃烧热和腺体C的蓄积,可以估算出龙喷火时的能量消耗。
V:腺体的储存体积 Q:25℃ 100kPa 燃烧热量
假设:腺体内乙醚处于临界压力储存:3637.6kPa
龙每天消耗一个腺体
变量定义: ρ:液态醚密度 M:摩尔质量 N:物质的量 m:质量 E: 最终能耗

我们可以计算出能耗:E=QpV/M = 19716.72 kJ。因此,如果龙喷火,一天的能源消耗将增加19716.72 kJ
注意:由于现实世界中没有喷火的生物,为了确保我们模型的稳定性和能力,在随后的分析中,我们将不考虑龙火的能量消耗。
龙——羊生态系统:
将龙加入已存在的生态系统
变量设置:
S:面积 t:时刻 N(t):绵羊的数量(绵羊代指所有被捕食者)K:生态对于绵羊的最大承载能力(与面积成正比) p:绵羊的生长速率
初始条件:

绵羊的生长公式:

排除龙捕食的绵羊数量(a):

结合得到:

通过我们对成年龙每日能量摄入的分析,可以知道成年龙每天需要消耗肉类约900公斤(羊的体重约100公斤),即9只左右。不失一般性,我们可以设a = 9。p = 0.01。进而选取不同的绵羊生态系统承载力值。例:取K= 5000,我们得到:

考虑到实际情况,K值不能过小,当K值=3000时,如图:

对于不同的初始K值,我们可以得到:

临界值约为初始K=4000
b:每平米可承载绵羊的数量
K=bA
在牧场不会退化的情况下,考虑到羊的活动面积,大约30亩草地可以养一只羊,大约150亩土地可以养一只羊。
根据这个比例,如果你想养4000只羊,就需要60万亩土地(即400平方公里)。因此,我们估计龙的栖息地至少有400平方公里。
考虑到黄石国家公园的面积是90万公顷,所以公园可以喂养大约22条龙。
根据以上分析,我们可以得出龙生境的最低要求,以及社区对龙生境支持能力的最低标准。
结论:
1.一条龙栖息地最小400km^2
2.在栖息地至少有4000只羊可以保证龙的长期生存。也就是说,生态系统的群落至少需要4000种食草动物和食肉动物。从生物学上讲,食物链之间的能量传递效率大约是20%,所以群落中的食草动物大约有3000只,食肉动物大约有1000只。我们画出龙参与的群落的营养结构

三种不同地区对于龙的不同影响
1.极地 2.暖温(条件适宜)3. 干旱地区
结合人体在不同温度下的代谢率,我们推测,在干旱地区和北极地区,龙每天摄取的能量在暖温带地区分别为0.9倍和1.3倍。
根据我们对巨龙每日能量摄入的分析,我们可以知道,在暖温带地区,巨龙每天需要消耗大约46万卡路里(即“9只羊”),
因此我们计算出干旱地区的能量消耗分别为41.4万卡路里和598卡路里。在北极地区,这相当于每天消耗8到12只羊。
在龙羊栖息地模型的基础上,采用模型中的参数p作为生态系统自我恢复能力的指标。
假设在干旱区和北极区p= 0.005,在暖温带p= 0.01。
此外,在不同的气候条件下,生态系统中生物的分布密度也不同。在暖温带地区,生物的分布密度远远大于干旱地区和北极地区。
我们在模型中设置参数b作为面积分布密度的指标。我们假设b在暖温带地区为10pcs/hm2,在干旱和北极地区为13pcs/hm2。
p:绵羊数量的固有增长率 b:环境承载力系数 计算K:三个区域的最大承载力)的临界值。
根据不同区域的环境承载力系数b,可以计算出三个区域下的最小生存面积(A)。


数据分析:
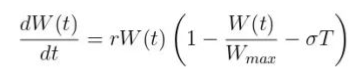
1.对于r的分析

设定环境温度T=25℃,环境变量σ=0.04

可见r 对于W(r)影响较小
2.对于σ的分析
设定环境温度T=25℃,r=20kg/year.

环境对龙的体重有影响
3.对于T的分析
设定环境变量σ=0.04,r=20kg/year.

从图14可以看出,温度的差异对权重W(t)的影响。由于龙的长度和体重之间存在相关性,这些参数反映了龙的大小。也就是说,它们的值越大,龙的尺寸就越大。
因此,由图14可知,炎热地区成熟龙的体型较小,寒冷地区成熟龙的体型较大,符合生态规律。同时也说明了模型的合理性。

浙公网安备 33010602011771号