几何
几何表示概述
几何图形可以通过隐式或者显式来表示
几何的隐式表示: 不知道点的实际位置,通过间接的方式来表达
几何的显式表示:知道所有点的确切位置
隐式表示
函数
函数表示的特点
1. 不直观,很难通过一个函数,直观得到三维图形的形状
2. 比较复杂的图形就很难用一个函数来表示
3. 通过带入函数,很容易判断一个点是否在图形上,图形内或图形外
4. 表示简单,存储简单,仅通过一个函数就能表达整个图形
Constructive solid geometry: CSG
通过几何图形的布尔运算,得到复杂的几何图形

距离函数distance function
给出空间中任何一个点到特定物体表面/边界的最小距离
这里的距离可以有负数
距离函数适用于多个图形的融合
下述是一个利用SDF,即signed distance function做两个图形的融合操作
将A和B图中的阴影右边界当作物体边界,这样就得到两个SDF,边界左边为负,右边为正,将两个SDF融合起来,就会得到新的边界和新的SDF

Level set method
和距离函数思想一致,但是是将SDF存在二维或是三维的格子中,再通过插值的方法,得到\(f(x)=0\)的一条线,即是边界

分形fractal
自己和自己的一部分有一样的形体
像这一种植物,植物有突起,突起中又有长得一样的突起

显式表示
显示表示概述
一种显式表示方法:全部的点都知道确切的位置
另一种显式表示方法:参数映射
给一个自变量空间加上一个函数,把所有的自变量点都走一遍,就得到因变量的三维图形

显式表示中,很难得知一个特定的点是在图形内,或是图形外
点云point cloud
物体的表面用离散的点来表示,当点的密度足够大,就近似形成了连续的表面
所以一个物体就是用一个点\((x, y, z)\)的列表来表示
需要大量的点数据

贝塞尔曲线Bezier Curves
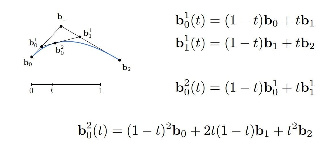
贝塞尔曲线是通过一系列控制点,来得到特定的曲线
de Casteljau Algorithm
用控制点来画出贝塞尔曲线,我们要求曲线从\(b_0\)开始,到\(b_2\)结束,起始处切线为\(b_0b_1\),结束处切线为\(b_1b_2\)
我们把曲线上的点用参数\(t\),从一维到二维映射的方式来表示,使\(t \in [0,1]\)
想要找到t时刻的点,我们在每个线段上找出最靠左的t分位点,将每相邻两个线段上的两个点连接起来,得到新的直线,
进行递归,在得到的新的直线上重复找t分位点,并连接,直到得到唯一的一个t分位点


最终得到的\(x(t)\)可以用初始的控制点和\(t\)来表达

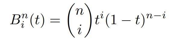
假设贝塞尔曲线为\(n\)阶,即有\(n\)条边,\(n+1\)个控制点,那么\(x(t)\)就可以用下述公式来表达

下述是Bernstein Polynomial

贝塞尔曲线的优秀性质:
-
仿射变换
若要对贝塞尔曲线做仿射变换,可以对其控制点做仿射变换,再按照新的控制点画新的贝塞尔曲线,即可得到贝塞尔曲线的仿射变换
但对其他的变换,比如投影变换就不适用 -
凸包
二维平面内,凸包是能够包围一系列点的最小的凸多边形,可以想象成一条包围在几何体外围的橡皮圈,贝塞尔曲线一定在控制点的凸包内
![image]()
高阶的贝塞尔曲线
对于更高阶的贝塞尔曲线,我们可以用逐段地画贝塞尔曲线,再将每一段拼起来,而且我们倾向于用四个控制点得到的贝塞尔曲线来组成
因为太多控制点控制一个贝塞尔曲线,会很难对曲线进行控制,控制点的大幅度移动也只会小程度影响曲线
而且每一个控制点的移动,都会造成整条曲线的波动,无法进行分段细分控制

piecewise Bezier Curves则能更好地控制高阶贝塞尔曲线

分段贝塞尔曲线的连续性
- \(C^0\)连续,两个分段相连接,即前一分段的终点,是后一分段的起始点
- \(C^1\)连续,即曲线光滑,我们用\(a_{n-1}\)来表示前一段的倒数第二个控制点,\(b_1\)来表示后一段的第二个控制点,如果两段相交的交点在\(a_{n-1}\)和\(b_1\)的中点,就可以保证曲线光滑
![image]()
贝塞尔曲面
贝塞尔曲面,是做二维的的贝塞尔曲线,通过二维的参数\(u-v\)来映射到三维的曲面

先是根据\(u\)得到\(u\)方向的多条贝塞尔曲线
在\(u = u_0\)时,我们取每一条贝塞尔曲线在\(u_0\)上的点,通过这些点来根据\(v\)来画另一条贝塞尔曲线,这一条曲线跟着\(u\)变化就会得到贝塞尔曲面

样条Spline
即一条可控的曲线,也是通过一些控制点来控制曲线
basis spline B样条
B样条满足贝塞尔曲线的所有性质
而且在移动控制点时,我们知道这个控制点影响的局部范围,不会影响整条曲线
多边形网格
用三角形、四边形来组成复杂的图形
是图形学中最广泛的显式表示,我们称之为多边形网格polygon mesh

存在几种操作
网格的细分:使得图形更光滑
网格的简化:减小存储量
网格的正则化:使得网格中不会出现过于特别的三角形,更趋向于正三角形

网格细分
Loop Subdivision
Loop division针对完全是三角形的网格进行细分
三角形的细分,不仅仅是将每个三角形拆成多个小三角形,更要对新的和旧的小三角形顶点的相对高度进行修改,才能使细分后的网格更加平滑

Loop division中,每个三角形会被细分成四个三角形,得到三个新顶点
对于得到的新顶点,新顶点的相对高度用下述方法计算

对于旧顶点的相对高度,用下述方法计算

Catmull-Clark Subdivision
Catmull-Clark Subdivision可以细分所有类型的网格,不仅是三角形
我们定义非四边形的图形面叫做non-quad face
度不为4的顶点叫做extraordinary vertex

Carmull-Clark division的步骤
- 在每个面上加一个点
- 在每条边上加上一个中点
- 把面上的点与相邻边上的中点连接
可以多次重复细分下去
以上产生的新点就是新的顶点
在第一次division过后,若division前有\(n\)个non-quad face,那么division过后就会增加\(n\)个extraordinary vertex,且度都是3,并且所有non-quad face消失。在以后的division中,不会再有新的extraordinary vertex出现

一次细分过后,我们要对所有顶点的高度以如下方式进行更新

网格的简化
当不需要这么细致的效果时,我们可以减少三角形的数量

我们用坍缩collapse的方式来减少三角形
我们针对特定的边来做坍缩,将边的两个顶点合在一起,得到一个新的顶点,原先两个顶点相连的其他边也会跟着移动

这个新的顶点我们通过优化后,摆在一个最优的位置,使得这个顶点的二次误差最小
二次误差指的是新顶点,到所有之前相连的面,按照变化前计算,距离平方之和

我们用一个贪心算法来对整个图形进行简化
先计算每个边,如果它坍缩会得到的二次误差
将每个边按照二次误差放入优先队列,每次对图形进行简化,就取出最小边进行坍缩
一条边坍缩后,会对其他边造成影响,二次误差也会改变,所以要对其他边进行更新



浙公网安备 33010602011771号