leetcode 1305. 两棵二叉搜索树中的所有元素
给你 root1 和 root2 这两棵二叉搜索树。
请你返回一个列表,其中包含 两棵树 中的所有整数并按 升序 排序。.
示例 1:

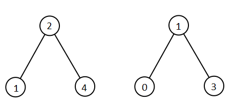
输入:root1 = [2,1,4], root2 = [1,0,3]
输出:[0,1,1,2,3,4]
示例 2:
输入:root1 = [0,-10,10], root2 = [5,1,7,0,2]
输出:[-10,0,0,1,2,5,7,10]
示例 3:
输入:root1 = [], root2 = [5,1,7,0,2]
输出:[0,1,2,5,7]
示例 4:
输入:root1 = [0,-10,10], root2 = []
输出:[-10,0,10]
示例 5:

输入:root1 = [1,null,8], root2 = [8,1]
输出:[1,1,8,8]
提示:
每棵树最多有 5000 个节点。
每个节点的值在 [-10^5, 10^5] 之间。
来源:力扣(LeetCode)
链接:https://leetcode-cn.com/problems/all-elements-in-two-binary-search-trees
著作权归领扣网络所有。商业转载请联系官方授权,非商业转载请注明出处。
/** * Definition for a binary tree node. * public class TreeNode { * int val; * TreeNode left; * TreeNode right; * TreeNode(int x) { val = x; } * } */ class Solution { public List<Integer> getAllElements(TreeNode root1, TreeNode root2) { List<Integer> a = new ArrayList<>(); List<Integer> b = new ArrayList<>(); find(root1, a); find(root2, b); return sort(a, b); } private List<Integer> sort(List<Integer> a, List<Integer> b) { int s1 = a.size(); int s2 = b.size(); List<Integer> list = new ArrayList<>(s1 + s2); int i = 0; int j = 0; while (i < s1 && j < s2) { if (a.get(i) > b.get(j)) { list.add(b.get(j++)); } else { list.add(a.get(i++)); } } while (i < s1) { list.add(a.get(i++)); } while (j < s2) { list.add(b.get(j++)); } return list; } private void find(TreeNode node, List<Integer> list) { if (node == null) { return; } find(node.left, list); list.add(node.val); find(node.right, list); } }


浙公网安备 33010602011771号