关于矩阵快速幂
矩阵快速幂,顾名思义,是将快速幂算法运用到矩阵中,已达到时间优化的目的。
先来康康快速幂算法。
如果要求解x的n次方,例如7的10次方,当我们用pow函数时要进行10次计算,但当我们把10二进制化,即为(1010),则该计算结果可化为7的(1000)次方乘以7的(10)次方,即7的8次方乘7的平方,7的8次方可以经过7的平方乘以7的平方得到7的四次方,然后7的四次方乘以7的四次方得到7的八次方,总共只需要四次计算即可算出7的10次方,起到了减少计算次数的目的。
那么快速幂的模板如下:
int qpow(int m, int n)//m为底数,n为指数 { int ans = 1; while (n) { if (n & 1) ans = ans * m;//判断m是奇数还是偶数,即m转化为二进制后最低位是1还是0 m = m * m; n >>= 1;//m的二进制数右移一位 } return ans; }
矩阵的快速幂原理是一样的,下面用三个例题来说明一下。(往往用到矩阵快速幂的题目的难点在于矩阵的构造)
首先是矩阵快速幂,可以记为模板https://www.luogu.com.cn/problem/P3390
AC代码如下:
#include<iostream> using namespace std; const int N = 110; typedef long long ll; struct mat { ll m[N][N]; }; mat a, b,c,ans; ll n, m; mat mul(mat a, mat b) { for (int i = 0; i < n; i++) for (int j = 0; j < n; j++) c.m[i][j] = 0; for (int i = 0; i < n; i++) for (int j = 0; j < n; j++) for (int k = 0; k < n; k++) c.m[i][j] = c.m[i][j]%(1000000007)+a.m[i][k]*b.m[k][j]%(1000000007);//矩阵乘法 return c; } void qpow(mat a, ll m) { for (int i = 0; i < n; i++) for (int j = 0; j < n; j++) ans.m[i][j] = 0; for(int i=0;i<n;i++) ans.m[i][i]=1; while (m) { if (m & 1) ans = mul(a, ans); a = mul(a, a); m >>= 1; } }//将快速幂运用于矩阵 int main() { cin >> n >> m; for (int i = 0; i < n; i++) for (int j = 0; j < n; j++) cin >> a.m[i][j]; qpow(a, m); for (int i = 0; i < n; i++) { for (int j = 0; j < n; j++) { cout << ans.m[i][j]%(1000000007) << ' '; } cout << endl; } }
第二题是斐波那契数列。https://www.luogu.com.cn/problem/P1962
矩阵构造过程如下:

AC代码实现如下:
1 #include<iostream> 2 using namespace std; 3 typedef long long ll; 4 ll mod=1000000007;; 5 struct mat 6 { 7 ll m[100][100]; 8 }; 9 mat a,c, ans; 10 mat mul(mat a, mat b) 11 { 12 for(int i=0;i<2;i++) 13 for(int j=0;j<2;j++) 14 c.m[i][j]=0; 15 for (int i = 0; i < 2; i++) 16 for (int j = 0; j < 2; j++) 17 for (int k = 0; k < 2; k++) 18 c.m[i][j] =c.m[i][j]%mod+(a.m[i][k] * b.m[k][j])%mod; 19 return c; 20 } 21 mat qpow(mat a, ll n) 22 { 23 for (int i = 0; i < 2; i++) 24 for (int j = 0; j < 2; j++) 25 ans.m[i][j] = 0; 26 for (int i = 0; i <2; i++) ans.m[i][i] = 1; 27 while (n) 28 { 29 if (n & 1) ans = mul(ans, a); 30 a = mul(a, a); 31 n >>= 1; 32 } 33 return ans; 34 } 35 int main() 36 { 37 cin.tie(0); 38 cout.tie(0); 39 ll num; 40 cin >> num; 41 a.m[0][0] = a.m[0][1] = a.m[1][0] = 1; 42 a.m[1][1] = 0; 43 mat aw=qpow(a,num-1); 44 if(num>=3) cout << aw.m[0][0]%mod << endl; 45 else cout<<1<<endl; 46 return 0; 47 48 }
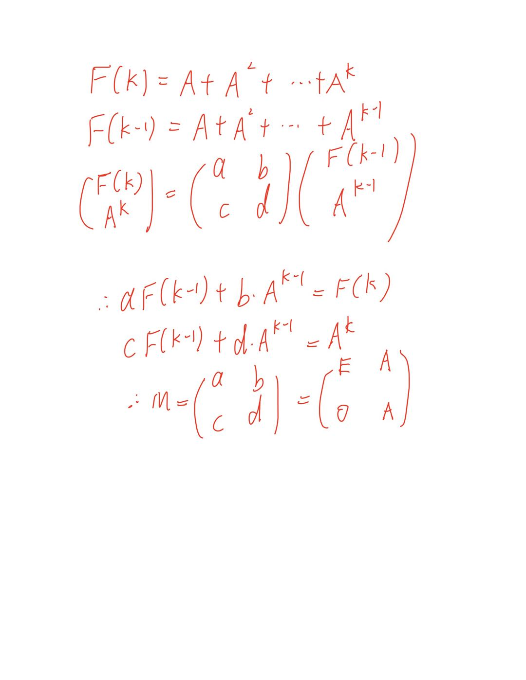
第三题.POJ3233 Given a n × n matrix A and a positive integer k, find the sum S = A + A2 + A3 + … + Ak.
矩阵推导过程如下:

AC代码如下:
#include<iostream> using namespace std; const int N = 110; typedef long long ll; struct mat { ll m[N][N]; }; mat a, b,c,ans; ll n, m,k; mat mul(mat a, mat b) { for (int i = 0; i < 2*n; i++) for (int j = 0; j < 2*n; j++) c.m[i][j] = 0; for (int i = 0; i < 2*n; i++) for (int j = 0; j < 2*n; j++) for (int k = 0; k < 2*n; k++) c.m[i][j] = c.m[i][j]%m+a.m[i][k]*b.m[k][j]%m; return c; } void qpow(mat a, int m) { for (int i = 0; i < 2*n; i++) for (int j = 0; j < 2*n; j++) ans.m[i][j] = 0; for(int i=0;i<2*n;i++) ans.m[i][i]=1; while (m) { if (m & 1) ans = mul(a, ans); a = mul(a, a); m >>= 1; } } int main() { cin>>n>>k>>m; for(int i=0;i<n;i++) for(int j=0;j<n;j++) a.m[i][j]=0; for(int i=0;i<n;i++) a.m[i][i]=1; for(int i=n;i<2*n;i++) for(int j=0;j<n;j++) a.m[i][j]=0; for(int i=0;i<n;i++) for(int j=n;j<2*n;j++) cin>>a.m[i][j],a.m[i+n][j]=a.m[i][j]; qpow(a,k); for(int i=0;i<n;i++) { for(int j=n;j<2*n;j++) { cout<<ans.m[i][j]%m<<' '; } cout<<endl; } return 0; }

浙公网安备 33010602011771号