会员
周边
新闻
博问
闪存
众包
赞助商
Chat2DB
所有博客
当前博客
我的博客
我的园子
账号设置
会员中心
简洁模式
...
退出登录
注册
登录
wangqu1
博客园
首页
新随笔
新文章
联系
管理
订阅
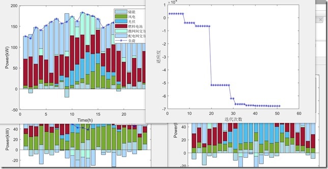
交直流混合微网程序matlab 采用拉丁超立方抽样和多场景缩减,考虑风光等随机性建模
交直流混合微网程序matlab
采用拉丁超立方抽样和多场景缩减,考虑风光等随机性建模,利用粒子群算法,计算得到三个微网的优化程序,程序运行稳定,有详细资料。
YID:8550
677167078820
posted on
2023-04-13 17:30
王曲
阅读(
26
) 评论(
0
)
收藏
举报
刷新页面
返回顶部
公告