线性回归问题的几种解决思路
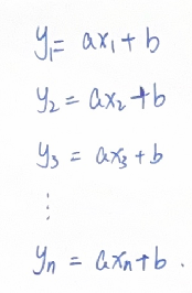
线性回归问题是用于研究因变量(目标变量)与一个或多个自变量(特征变量)之间的线性关系。一个基础的线性回归问题:在最基础的线性回归问题中,给定一组数据点 (x,y),目标是求解线性方程$$y=ax+b$$中系数a和b,使得该直线最能反映数据的内在规律。
最小二乘法
几何思路
我们尝试将数据代入方程中,问题转化成求解线性方程组:

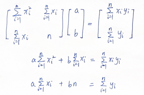
用矩阵表达:

如果方程有解,说明所有数据点都在这条线性关系的直线上,求解这个方程即可。
然而大多数情况下,由于数据点众多,上图中矩阵C的列向量空间(列向量的所有线性组合)是高维空间(n维)中的一个平面,d很难刚好位于这个平面之上,也就是方程组很难有解。
此时,我们需要找到这样的a,b,使得Ck(也就是预测值)距离d的距离尽可能近,从几何关系描述,就是要求解d在C的列向量空间中的投影(因为投影的距离是最近的)。
通过正交性条件可以推导出正规方程:

展开得:


求解可得a,b
微分思路
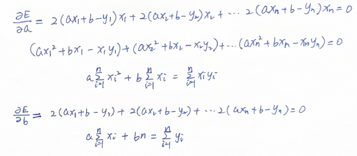
从微分的角度,我们构建一个预测值和实际值的误差方程E:

求解a,b使得E最小,也就是令E对a,b的偏导数为0:

可以看到,这个结果和上面通过几何的方式得到的方程是一样的。
也就是说,向量投影的正交条件与误差平方和的极值条件在数学上是等价的。
梯度下降方法
我们用神经元的图示来表述上述线性关系:

从梯度下降的角度,参数a,b要沿着误差关于他们的梯度方向进行迭代:

这个误差E其实就是梯度下降里的loss function,如果用上文微分方法中的E的计算方式,这相当于用所有数据进行梯度下降,也就是full gradient descent。如果采用单个数据进行每一次迭代,则为随机梯度下降(stochastic gradient descent,SGD) 。
总结
最小二乘法是一种直接求解的思路,适用于数据量较少的场景,能够快速得到解析解。然而,当数据量增加且特征数量增多时,矩阵运算的复杂度会显著上升,导致计算资源消耗过大,求解效率降低。
相比之下,梯度下降方法是一种迭代优化算法,更适合处理大规模数据集和复杂模型(如深度神经网络)。它通过逐步逼近最优解,能够在资源有限的情况下高效地完成优化任务,尤其在面对高维特征和复杂结构时表现出更强的适应性和灵活性。

浙公网安备 33010602011771号