和差化积与积化和差|思维训练
前言
三角函数中的和差化积与积化合差公式是不需要记忆的,原来的教材中纯粹就没有这样的内容,现在的新教材将这一内容安排成了习题,主要是让学生进行思维训练。



和差化积
观察以上四个三角公式的结构,左边是两个三角函数的和与差的形式,而右边是两个三角函数的乘积的形式,故称之为和差化积公式。
积化和差
观察以上四个三角公式的结构,左边是两个三角函数的乘积的形式,而右边是两个三角函数的和与差的形式,故称之为积化和差公式。
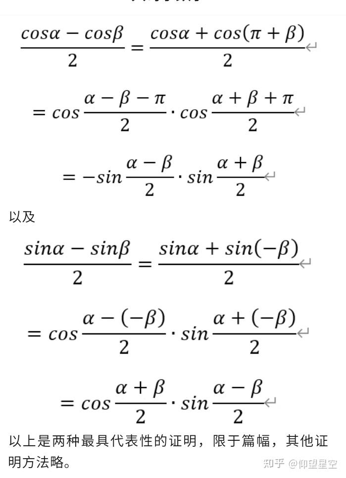
思维训练1
- 和差化积公式的证明
证明法1️⃣: 在三角函数的学习中,我们知道这样的公式:
\(\sin(A+B)=\sin A\cos B+\cos A\sin B\);
\(\sin(A-B)=\sin A\cos B-\cos A\sin B\);
则两式相加,得到
\(\sin(A+B)+\sin(A-B)=2\sin A\cos B①\);
令\(A+B=\alpha\),\(A-B=\beta\),
则解方程可知:\(A=\cfrac{\alpha+\beta}{2}\),\(B=\cfrac{\alpha-\beta}{2}\),
将这一结果代入①式,就得到
\(\sin\alpha+\sin\beta=2\sin\cfrac{\alpha+\beta}{2}\cos\cfrac{\alpha-\beta}{2}\);
解后反思1: ①式和要证明的式子的结构是一致的,故只需要换元就能完成证明,需要特别注意换元和反解的技巧。
证明法2️⃣: 我们已经知道如下的角的拆分技巧,更多请参阅三角函数中角的拆分与整合
还知道以下两角和的正弦公式:$$\sin(x+y)=\sin x\cos y+\cos x\sin y$$
将 \(\alpha\),\(\beta\) 代入上述公式,则可知
\(\sin\beta\) \(=\) \(\sin\cfrac{(\alpha+\beta)-(\alpha-\beta)}{2}\) \(=\) \(\sin\cfrac{\alpha+\beta}{2}\cos\cfrac{\alpha-\beta}{2}\) \(-\) \(\cos\cfrac{\alpha+\beta}{2}\sin\cfrac{\alpha-\beta}{2}②\)
①+②得到,\(\sin\alpha+\sin\beta=2\sin\cfrac{\alpha+\beta}{2}\cos\cfrac{\alpha-\beta}{2}\),证毕 .
证明:这个公式的由右向左证明思路如下所述:
\(2\sin\cfrac{\alpha+\beta}{2}\cos\cfrac{\alpha-\beta}{2}\)
\(=\)\(2\sin(\cfrac{\alpha}{2}+\cfrac{\beta}{2})\cos(\cfrac{\alpha}{2}-\cfrac{\beta}{2})\)
\(=2\left(\sin\cfrac{\alpha}{2}\cos\cfrac{\beta}{2}+\cos\cfrac{\alpha}{2}\sin\cfrac{\beta}{2}\right)\left(\cos\cfrac{\alpha}{2}\cos\cfrac{\beta}{2}+\sin\cfrac{\alpha}{2}\sin\cfrac{\beta}{2}\right)\)
\(=2\sin\cfrac{\alpha}{2}\cos\cfrac{\alpha}{2}\cos^2\cfrac{\beta}{2}+2\sin\cfrac{\beta}{2}\cos\cfrac{\beta}{2}\sin^2\cfrac{\alpha}{2}+2\sin\cfrac{\beta}{2}\cos\cfrac{\beta}{2}\cos^2\cfrac{\alpha}{2}+2\sin\cfrac{\alpha}{2}\cos\cfrac{\alpha}{2}\sin^2\cfrac{\beta}{2}\)
\(=\sin\alpha\cos^2\cfrac{\beta}{2}+\sin\beta\sin^2\cfrac{\alpha}{2}+\sin\beta\cos^2\cfrac{\alpha}{2}+\sin\alpha\sin^2\cfrac{\beta}{2}\)
\(=\sin\alpha(\cos^2\cfrac{\beta}{2}+\sin^2\cfrac{\beta}{2})+\sin\beta(\sin^2\cfrac{\alpha}{2}+\cos^2\cfrac{\alpha}{2})\)
\(=\sin\alpha+\sin\beta\)
〔解后反思2〕按照两角和差公式展开,整理即可得到结论,需要注意其中的运算。
证明:这个公式的由左向右的证明思路如下所述:
\(\sin\alpha-\sin\beta=\sin(\cfrac{\alpha+\beta}{2}+\cfrac{\alpha-\beta}{2})-\sin(\cfrac{\alpha+\beta}{2}-\cfrac{\alpha-\beta}{2})\)
\(=\sin\cfrac{\alpha+\beta}{2}\cos\cfrac{\alpha-\beta}{2}+\cos\cfrac{\alpha+\beta}{2}\sin\cfrac{\alpha-\beta}{2}-\sin\cfrac{\alpha+\beta}{2}\cos\cfrac{\alpha-\beta}{2}+\cos\cfrac{\alpha+\beta}{2}\sin\cfrac{\alpha-\beta}{2}\)
\(=2\cos\cfrac{\alpha+\beta}{2}\sin\cfrac{\alpha-\beta}{2}\);
〔解后反思3〕注意角的拆分,比如 \(\alpha=\cfrac{\alpha+\beta}{2}+\cfrac{\alpha-\beta}{2}\),\(\beta=\cfrac{\alpha+\beta}{2}-\cfrac{\alpha-\beta}{2}\)。
思维训练2
- 积化和差公式的证明
证明: 由上述和差化积的结果可知:
\(\sin\alpha+\sin\beta=2\sin\cfrac{\alpha+\beta}{2}\cos\cfrac{\alpha-\beta}{2}\);
如果我们对上述公式施行换元法的变换,
令\(\cfrac{\alpha+\beta}{2}=A\),\(\cfrac{\alpha-\beta}{2}=B\),
则\(A+B=\alpha\),\(A-B=\beta\),代入上述公式,得到
\(\sin(A+B)+\sin(A-B)=2\sin A\cos B\);
对上述公式,移项整理即得到,
\(\sin A\cos B=\cfrac{1}{2}[\sin(A+B)+\sin(A-B)]\);
对应练习1
仿照上述的解法,完成和差化积公式中的其他公式。
典例剖析
解法1:我们最容易想到的思路,打开整理结合辅助角公式,即
\(f(x)=\sin(4x+\cfrac{\pi}{3})+\sin(4x-\cfrac{\pi}{6})=\cfrac{\sqrt{3}+1}{2}\sin 4x+\cfrac{\sqrt{3}-1}{2}\cos 4x\)
到此,思维暂时受阻,\(\sqrt{(\cfrac{\sqrt{3}+1}{2})^2+(\cfrac{\sqrt{3}-1}{2})^2}=\sqrt{2}\),\(\sin15^{\circ}=\sin\cfrac{\pi}{12}=\cfrac{\sqrt{6}-\sqrt{2}}{4}\),
\(=\sqrt{2}(\sin4x\cdot\cfrac{\frac{\sqrt{3}+1}{2}}{\sqrt{2}}+\cos 4x\cdot\cfrac{\frac{\sqrt{3}-1}{2}}{\sqrt{2}})\)
\(=\sqrt{2}(\sin 4x\cfrac{\sqrt{6}+\sqrt{2}}{4}+\cos 4x\cfrac{\sqrt{6}-\sqrt{2}}{4})\)
\(=\sqrt{2}(\sin 4x\cos\cfrac{\pi}{12}+\cos 4x\sin\cfrac{\pi}{12})\)
\(=\sqrt{2}\sin(4x+\cfrac{\pi}{12})\)
解法2:使用和差化积公式\(\sin\alpha\)\(+\)\(\sin\beta\)\(=\)\(2\sin\cfrac{\alpha+\beta}{2}\cos\cfrac{\alpha-\beta}{2}\),此时就能感受到和差化积公式的作用了,以此题为例,第二个因式中没有变量,只剩下角了。
\(f(x)=\sin(4x+\cfrac{\pi}{3})+\sin(4x-\cfrac{\pi}{6})\)
\(=2\sin\cfrac{(4x+\frac{\pi}{3})+(4x-\frac{\pi}{6})}{2}\cos\cfrac{(4x+\frac{\pi}{3})-(4x-\frac{\pi}{6})}{2}\)
\(=2\sin(4x+\cfrac{\pi}{12})\cos\cfrac{\pi}{4}\)
\(=\sqrt{2}\sin(4x+\cfrac{\pi}{12})\)
解法3:使用广义互余公式化简,我们使用比较多的广义互余公式是 \(\sin(\theta+\cfrac{\pi}{6})\)\(=\)\(\cos(\cfrac{\pi}{3}-\theta)\),其中两个角中字母的系数互为相反数,如 \((\theta+\cfrac{\pi}{6})\)\(+\)\((\cfrac{\pi}{3}-\theta)\)\(=\)\(\cfrac{\pi}{2}\),但实际考查中可能是两个角中字母的系数相同,此时它们的和不是 \(\cfrac{\pi}{2}\) ,但是其差\((\theta+\cfrac{\pi}{6})\)\(-\)\((\theta-\cfrac{\pi}{3})\)\(=\)\(\cfrac{\pi}{2}\),比如实战中的 \(\sin(4x+\cfrac{\pi}{3})\)\(+\)\(\sin(4x-\cfrac{\pi}{6})\),两个角 \((4x+\cfrac{\pi}{3})-(4x-\cfrac{\pi}{6})=\cfrac{\pi}{2}\),此时只要利用关系 \(\sin(4x-\cfrac{\pi}{6})\)\(=\)\(-\cos(4x+\cfrac{\pi}{3})\),也能简化运算,具体如下
\(f(x)=\sin(4x+\cfrac{\pi}{3})+\sin(4x-\cfrac{\pi}{6})\)
\(=\sin(4x+\cfrac{\pi}{3})+\sin(4x+\cfrac{\pi}{3}-\cfrac{\pi}{2})\)
\(=\sin(4x+\cfrac{\pi}{3})+\sin[(4x+\cfrac{\pi}{3})-\cfrac{\pi}{2}]\)
\(=\sin(4x+\cfrac{\pi}{3})-\cos(4x+\cfrac{\pi}{3})\)
\(=\sqrt{2}\left[\sin(4x+\cfrac{\pi}{3})\cdot\cfrac{\sqrt{2}}{2}-\cos(4x+\cfrac{\pi}{3})\cdot\cfrac{\sqrt{2}}{2}\right]\)
\(=\sqrt{2}\sin(4x+\cfrac{\pi}{12})\)

和差化积与积化和差在教材中的安排用意更多的体现在思维训练上
浙公网安备 33010602011771号