软件工程202
| 博客信息 | 沈阳航空航天大学计算机学院2020软件工程作业 |
|---|---|
| 作业要求 | https://edu.cnblogs.com/campus/sau/Computer1701-1705/homework/10583 |
| 课程目标 | 熟悉一个“高质量”软件的开发过程 |
| 作业目标 | 单元测试练习 |
一、题目
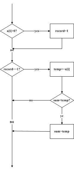
最大连续子数组和(最大子段和)
问题: 给定n个整数(可能为负数)组成的序列a[1],a[2],a[3],…,a[n],求该序列如a[i]+a[i+1]+…+a[j]的子段和的最大值。当所给的整数均为负数时定义子段和为0,依此定义,所求的最优值为: Max{0,a[i]+a[i+1]+…+a[j]},1<=i<=j<=n。例如,当(a[1],a[2],a[3],a[4],a[5],a[6])=(-2,11,-4,13,-5,-2)时,最大子段和为20。
二、源代码
https://github.com/kangba555/helloworld/commit/ba0cc1be5399474451e7a76ba8642ae1dbf37404
三、程序运行结果

四、条件组合覆盖测试用例

满足以下覆盖情况:
①a[i]>0 ②a[i]<0 ③record=1,sun<temp ④record=1,sun≥temp ⑤record!=1
五、测试
代码 https://github.com/kangba555/helloworld/blob/master/software%202.2

六、工作记录
PSP0 工作记录表
| 项目 | 记录结果 |
|---|---|
| 日期 | 2020.4.6 |
| 开始时间 | 17:00 |
| 结束时间 | 19:40 |
| 源代码编码行数 | 35 |
| 测试代码编码行数 | 67 |
| 错误数量 | 1 |
| 错误 | 多了括号 |
| 修改时间 | 3minutesd |
七、心得体会
通过这次的训练,让自己对覆盖测试有了更深的理解,也在自己的摸索中学会了使用VS2019自带的测试工具,还有就是在编程的时候不能大意

浙公网安备 33010602011771号