软考高级《系统架构设计师》知识点(七)

系统配置与性能评价

性能指标

性能指标:是软、硬件、的性能指标的集成。在硬件中,包括计算机、各种通信交换设备、各类网络设备等;在软件中,包括:操作系统协议以及应用程序等。

对计算机评价的主要性能指标有:时钟频率(主频);运算速度运算精度;内存的存储容量;存储器的存取周期;数据处理速率PDR(processingdatarate);吞吐率;各种响应时间;各种利用率;RASIS特性(即:可靠性Reliability、可用性Availability、可维护性Sericeability、完整性和安全性IntegraityandSecurity);平均故障响应时间;兼容性;可扩充性;性能价格比。

路由器评价的主要性能指标有:设备吞吐量、端口吞吐量、全双工线速转发能力、背靠背帧数、路由表能力、背板能力、丢包率、时延、时延抖动、VPN支持能力、内部时钟精度、队列管理机制、端口硬件队列数、分类业务带宽保证、RSVP、IPDiffServ、CAR支持、冗余、热插拔组件、路由器冗余协议、网管、基于Web的管理、网管类型、带外网管支持、网管粒度、计费能力/协议、分组语音支持方式、协议支持、语音压缩能力、端口密度、信令支持。

交换机评价的主要性能指标有:交换机类型、配置、支持的网络类型、最大ATM端口数、最大SONET端口数、最大FDDI端口数、背板吞吐量、缓冲区大小、最大MAC地址表大小、最大电源数、支持协议和标准、路由信息协议RIP、RIP2、开放式最短路径优先第2版、边界网关协议BGP、无类域间路由CIDR、互联网成组管理协议IGMP、距离矢量多播路由协议DVMRP、开放式最短路径优先多播路由协议MOSPF、协议无关的多播协议PIM、资源预留协议RSVP、802.1p优先级标记,多队列、路由、支持第3层交换、支持多层(4到7层交换、支持多协议路由、支持路由缓存、可支持最大路由表数、VLAN、最大VLAN数量、网管、支持网管类型、支持端口镜像、QoS、支持基于策略的第2层交换、每端口最大优先级队列数、支持基于策略的第3层交换、支持基于策略的应用级QoS、支持最小/最大带宽分配、冗余、热交换组件(管理卡,交换结构,接口模块,电源,冷却系统、支持端口链路聚集协议、负载均衡。

评价网络的性能指标有:设备级性能指标、网络级性能指标、应用级性能指标、用户级性能指标、吞吐量

评价操作系统的性能指标有:系统的可靠性、系统的吞吐率(量)、系统响应时间、系统资源利用率可移植性

衡量数据库管理系统的主要性能指标包括数据库本身管理系统两部分,有:数据库的大小、数据库中表的数量、单个表的大小、表中允许的记录(行)数量、单个记录(行)的大小、表上所允许的索引数量、数据库所允许的索引数量、最大并发事务处理能力、负载均衡能力、最大连接数等等。

评价Web服务器的主要性能指标有:最大并发连接数响应延迟吞吐量

性能评价方法

性能评测的常用方法:

  • 时钟频率。一般来讲,主频越高,速度越快。
  • 指令执行速度。计量单位KIPS、MIPS。
  • 等效指令速度法。统计各类指令在程序中所占比例,并进行折算,是一种固定比例法。
  • 数据处理速率(ProcessingDataRate,PDR)法。采用计算PDR值的方法来衡量机器性能,PDR值越大,机器性能越好。PDR与每条指令和每个操作数的平均位数以及每条指令的平均运算速度有关。

基准程序法(Benchmark):把应用程序中用得最多、最频繁、的那部分核心程序作为评价计算机性能的标准程序,称为基准测试程序(benchmark)。

目前被用户一致承认的测试性能的较好方法,有多种多样的基准程序,包括:

  • 整数测试程序。同一厂家的机器,采用相同的体系结构,用相同的基准程序测试,得到的MIPS值越大,一般说明机器速度越快。
  • 浮点测试程序。指标MFLOPS(理论峰值浮点速度)。
  • SPEC基准程序(SPECBenchmark)。重点面向处理器性能的基准程序集,将被测计算机的执行时间标准化,即将被测计算机的执行时间除以一个参考处理器的执行时间,
  • TPC基准程序。用于评测计算机在事务处理、数据库处理、企业管理与决策支持系统等方面的性能。其中,TPC-C是在线事务处理(On-lineTransactionProcessing,OLTP)的基准程序,TPC-D是决策支持的基准程序。TPC-E作为大型企业信息服务的基准程序。

大多数情况下,为测试新系统的性能,用户必须依靠评价程序来评价机器的性能。下面列出了4种评价程序,它们评测的准确程度依次递减:真实的程序核心程序小型基准程序合成基准程序

阿姆达尔解决办法

阿姆达尔(Amdahl)定律主要用于系统性能改进的计算中。

阿姆达尔定律:是指计算机系统中对某一部件采用某种更快的执行方式所获得的系统性能改变程度,取决于这种方式被使用的频率,或所占总执行时间的比例。

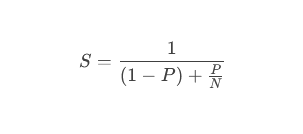
阿姆达尔定律定义了采用特定部件所取得的加速比。加速比公式:

  • S:加速比(Speedup),表示优化后的性能提升倍数。
  • P:程序中可以被并行化的部分所占的比例(0<=P<=1)。
  • N:并行化后的处理器数量(或并行资源数量)。

阿姆达尔定律的意义

  • 性能提升的极限:即使增加无限多的处理器,加速比也不会超过 1/(1−P)​。
  • 优化重点:优化串行部分(1−P)对性能提升的影响更大。
  • 并行化的重要性:增加可并行化的比例 P 是提高加速比的关键。
posted @ 2025-02-18 21:07  Rix里克斯  阅读(328)  评论(0)    收藏  举报