Python 面向对象 (5)
Python 面向对象
面向对象(Object oriented Programming,OOP)编程的思想主要是针对大型软件设计而来的。面向对象编程使程序的扩展性更强、可读性更好,使的编程可以像搭积木一样简单。
面向对象编程将数据和操作数据相关的方法封装到对象中,组织代码和数据的方式更加接近人的思维,从而大大提高了编程的效率。
Python 完全采用了面向对象的思想,是真正面向对象的编程语言,完全支持面向对象的基本功能,例如:继承、多态、封装等。
Python 中,一切皆对象。我们在前面学习的数据类型、函数等,都是对象。
注:Python 支持面向过程、面向对象、函数式编程等多种编程范式。
面向对象和面向过程区别
·面向过程(Procedure Oriented)思维
面向过程编程更加关注的是"程序的逻辑流程",是一种"执行者"思维,适合编写小规模的程序。
面向过程思想思考问题时,我们首先思考"怎么按步骤实现?"并将步骤对应成方法,一步一步,最终完成。 这个适合简单任务,不需要过多协作的情况下。比如,如何开车?我们很容易就列出实现步骤:
1. 发动车 2. 挂挡 3.踩油门 4. 走你
面向过程适合简单、不需要协作的事务。 但是当我们思考比较复杂的问题,比如"如何造车?",就会发现列出 1234 这样的步骤,是不可能的。那是因为,造车太复杂,需要很多协作才能完成。此时面向对象思想就应运而生了。
·面向对象(Object Oriented)思维
面向对象更加关注的是"软件中对象之间的关系",是一种"设计者"思维,适合编写大规模的程序。
面向对象(Object)思想更契合人的思维模式。我们首先思考的是"怎么设计这个事物?" 比如思考造车,我们就会先思考"车怎么设计?",而不是"怎么按步骤造车的问题"。这就是思维方式的转变。
面向对象方式思考造车,发现车由如下对象组成:
- 轮胎
- 发动机
- 车壳
- 座椅
- 挡风玻璃
为了便于协作,我们找轮胎厂完成制造轮胎的步骤,发动机厂完成制造发动机的步骤;这样,发现大家可以同时进行车的制造,最终进行组装,大大提高了效率。但是,具体到轮胎厂的一个流水线操作,仍然是有步骤的,还是离不开面向过程思想!
因此,面向对象可以帮助我们从宏观上把握、从整体上分析整个系统。 但是,具体到实现部分的微观操作(就是一个个方法),仍然需要面向过程的思路去处理。
我们千万不要把面向过程和面向对象对立起来。他们是相辅相成的。面向对象离不开面向过程!
· 面向对象思考方式
遇到复杂问题,先从问题中找名词(面向过程更多的是找动词),然后确立这些名词哪些可以作为类,再根据问题需求确定的类的属性和方法,确定类之间的关系。
· 面向对象和面向过程的总结
- 都是解决问题的思维方式,都是代码组织的方式。
- 解决简单问题可以使用面向过程
- 解决复杂问题:宏观上使用面向对象把握,微观处理上仍然是面向过程。
对象的进化
随着编程面临的问题越来越复杂,编程语言本身也在进化,从主要处理简单数据开始,随着数据变多进化"数组"; 数据类型变复杂,进化出了"结构体"; 处理数据的方式和逻辑变复杂,进化出了"对象"。
- 简单数据
像 30,40,50.4 等这些数字,可以看做是简单数据。最初的计算机编程,都是像这样的数字。
- 数组
将同类型的数据放到一起。比如:整数数组[20,30,40],浮点数数组[10.2, 11.3, 12.4],字符串数组:["aa","bb","cc"]
- 结构体
将不同类型的数据放到一起,是 C 语言中的数据结构。比如:
struct resume{ int age;
char name[10];
double salary;
};
- 对象
将不同类型的数据、方法(即函数)放到一起,就是对象。比如:
class Student: company = "SXT" #类属性 count = 0 #类属性 def __init__(self,name,score): self.name = name #实例属性 self.score = score Student.count = Student.count+1 def say_score(self): #实例方法 print("我的公司是:",Student.company) print(self.name,'的分数是:',self.score) |
我们前面学习的数字也是对象。比如:整数 9,就是一个包含了加法、乘法等方法的对象。类的定义我们把对象比作一个"饼干",类就是制造这个饼干的"模具"。
我们通过类定义数据类型的属性(数据)和方法(行为),也就是说,"类将行为和状态打包在一起"。
对象是类的具体实体,一般称为"类的实例"。类看做"饼干模具",对象就是根据这个"模具"制造出的"饼干"。
从一个类创建对象时,每个对象会共享这个类的行为(类中定义的方法),但会有自己的属性值(不共享状态)。更具体一点:"方法代码是共享的,属性数据不共享"。
Python 中,"一切皆对象"。类也称为"类对象",类的实例也称为"实例对象"。
定义类的语法格式如下: class 类名:类体
要点如下:
- 类名必须符合"标识符"的规则;一般规定,首字母大写,多个单词使用"驼峰原则"。
- 类体中我们可以定义属性和方法。
- 属性用来描述数据,方法(即函数)用来描述这些数据相关的操作。
【操作】一个典型的类的定义
class Student: def __init__(self,name,score): #构造方法第一个参数必须为 self self.name = name #实例属性 self.score = score def say_score(self): #实例方法 print(self.name,'的分数是:',self.score) | |
s1 = Student('张三',80) s1.say_score() | #s1 是实例对象,自动调用__init__()方法 |
__init__构造方法和__new__方法
类是抽象的,也称之为"对象的模板"。我们需要通过类这个模板,创建类的实例对象,然后才能使用类定义的功能。
我们前面说过一个 Python 对象包含三个部分:id(identity 识别码)、type(对象类型)、 value(对象的值)。
现在,我们可以更进一步的说,一个 Python 对象包含如下部分:
- id(identity 识别码)
- type(对象类型)
- value(对象的值)
(1) 属性(attribute) (2) 方法(method)
创建对象,我们需要定义构造函数__init__()方法。构造方法用于执行"实例对象的初始化工作",即对象创建后,初始化当前对象的相关属性,无返回值。
__init__()的要点如下:
- 名称固定,必须为:__init__()
- 第一个参数固定,必须为:self。 self 指的就是刚刚创建好的实例对象。
- 构造函数通常用来初始化实例对象的实例属性,如下代码就是初始化实例属性:name 和 score。
def __init__(self,name,score): self.name = name self.score = score
#实例属性
- 通过"类名(参数列表)"来调用构造函数。调用后,将创建好的对象返回给相应的变量。
比如:s1 = Student('张三', 80)
- __init__()方法:初始化创建好的对象,初始化指的是:"给实例属性赋值"
- __new__()方法: 用于创建对象,但我们一般无需重定义该方法。
- 如果我们不定义__init__方法,系统会提供一个默认的__init__方法。如果我们定义了带参的__init__方法,系统不创建默认的__init__方法。
注:
1. Python 中的 self 相当于 C++中的 self 指针,JAVA 和 C#中的 this 关键字。Python 中, self 必须为构造函数的第一个参数,名字可以任意修改。但一般遵守惯例,都叫做 self。
实例属性和实例方法
实例属性
实例属性是从属于实例对象的属性,也称为"实例变量"。他的使用有如下几个要点:
- 实例属性一般在__init__()方法中通过如下代码定义: self.实例属性名 = 初始值
- 在本类的其他实例方法中,也是通过 self 进行访问: self.实例属性名
- 创建实例对象后,通过实例对象访问:
obj01 = 类名() #创建对象,调用__init__()初始化属性
obj01.实例属性名 = 值 #可以给已有属性赋值,也可以新加属性
实例方法
实例方法是从属于实例对象的方法。实例方法的定义格式如下: def 方法名(self [, 形参列表]):函数体
方法的调用格式如下:
对象.方法名([实参列表])
要点:
- 定义实例方法时,第一个参数必须为 self。和前面一样,self 指当前的实例对象。
- 调用实例方法时,不需要也不能给 self 传参。self 由解释器自动传参。
· 函数和方法的区别
- 都是用来完成一个功能的语句块,本质一样。
- 方法调用时,通过对象来调用。方法从属于特定实例对象,普通函数没有这个特点。
- 直观上看,方法定义时需要传递 self,函数不需要。
· 实例对象的方法调用本质:
- dir(obj)可以获得对象的所有属性、方法
- obj.__dict__ 对象的属性字典
- pass 空语句
isinstance(对象,类型) 判断"对象"是不是"指定类型"
类对象
我们在前面讲的类定义格式中,"class 类名:"。实际上,当解释器执行 class 语句时,就会创建一个类对象。
【操作】测试类对象的生成
class Student: pass #空语句 print(type(Student)) print(id(Student)) |
Stu2 = Student s1 = Stu2() print(s1)
执行结果如下:
<class 'type'>
51686328
<__main__.Student object at 0x0000000002B5FDD8>
我们可以看到实际上生成了一个变量名就是类名"Student"的对象。我们通过赋值给新变量 Stu2,也能实现相关的调用。说明,确实创建了"类对象"。
【注】pass 为空语句。就是表示什么都不做,只是作为一个占位符存在。当你写代码时,遇到暂时不知道往方法或者类中加入什么时,可以先用 pass 占位,后期再补上。
类属性
类属性是从属于"类对象"的属性,也称为"类变量"。由于,类属性从属于类对象,可以被所有实例对象共享。
类属性的定义方式:
class 类名:
类变量名= 初始值
在类中或者类的外面,我们可以通过:"类名.类变量名"来读写。
【操作】 类属性的使用测试
class Student: company = "SXT" #类属性 count = 0 #类属性 def __init__(self,name,score): self.name = name #实例属性 self.score = score |
Student.count = Student.count+1 def say_score(self): #实例方法 print("我的公司是:",Student.company) print(self.name,'的分数是:',self.score) s1 = Student('张三',80) #s1 是实例对象,自动调用__init__()方法 s1.say_score() print('一共创建{0}个 Student 对象'.format(Student.count)) |
执行结果:我的公司是: SXT
张三 的分数是: 80
一共创建 1 个 Student 对象
类方法
类方法是从属于"类对象"的方法。类方法通过装饰器@classmethod 来定义,格式如下:
@classmethod
def 类方法名(cls [,形参列表]) :函数体要点如下:
- @classmethod 必须位于方法上面一行
- 第一个 cls 必须有;cls 指的就是"类对象"本身;
- 调用类方法格式:"类名.类方法名(参数列表)"。 参数列表中,不需要也不能给 cls 传值。
- 类方法中访问实例属性和实例方法会导致错误
- 子类继承父类方法时,传入 cls 是子类对象,而非父类对象
【操作】类方法使用测试
class Student: company = "SXT" @classmethod | #类属性 |
def printCompany(cls): print(cls.company) Student.printCompany() | |
静态方法
Python 中允许定义与"类对象"无关的方法,称为"静态方法"。
"静态方法"和在模块中定义普通函数没有区别,只不过"静态方法"放到了"类的名字空间里面",需要通过"类调用"。
静态方法通过装饰器@staticmethod 来定义,格式如下:
@staticmethod
def 静态方法名([形参列表]) :函数体要点如下:
- @staticmethod 必须位于方法上面一行
- 调用静态方法格式:"类名.静态方法名(参数列表)"。
- 静态方法中访问实例属性和实例方法会导致错误
【操作】静态方法使用测试
class Student: company = "SXT" #类属性 @staticmethod def add(a, b): #静态方法 print("{0}+{1}={2}".format(a,b,(a+b))) return a+b Student.add(20,30) |
内存分析实例对象和类对象创建过程(重要)我们以下面代码为例,分析整个创建过程,让大家对面向对象概念掌握更加深刻:
class Student: company = "尚学堂" #类属性 count = 0 #类属性 def __init__(self,name,score): self.name = name #实例属性 self.score = score Student.count = Student.count+1 def say_score(self): #实例方法 print("我的公司是:",Student.company) print(self.name,'的分数是:',self.score) s1 = Student('高淇',80) #s1 是实例对象,自动调用__init__()方法 s1.say_score() print('一共创建{0}个 Student 对象'.format(Student.count)) |
__del__方法(析构函数)和垃圾回收机制
__del__方法称为"析构方法",用于实现对象被销毁时所需的操作。比如:释放对象占用的资源,例如:打开的文件资源、网络连接等。
Python 实现自动的垃圾回收,当对象没有被引用时(引用计数为 0),由垃圾回收器调用__del__方法。
我们也可以通过 del 语句删除对象,从而保证调用__del__方法。
系统会自动提供__del__方法,一般不需要自定义析构方法。
#析构函数 class Person: def __del__(self): print("销毁对象:{0}".format(self)) p1 = Person() p2 = Person() del p2 print("程序结束") |
运算结果:
销毁对象:<__main__.Person object at 0x02175610> 程序结束
销毁对象:<__main__.Person object at 0x021755D0>
__call__方法和可调用对象
定义了__call__方法的对象,称为"可调用对象",即该对象可以像函数一样被调用。
#测试__call__,可调用对象
class SalaryAccount: '''工资计算类''' def __call__(self, salary): yearSalary = salary*12 daySalary = salary//30 hourSalary = daySalary//8 return dict(monthSalary=salary,yearSalary=yearSalary,daySalary=daySalary ,hourSalary=hourSalary) s = SalaryAccount() print(s(5000)) #可以像调用函数一样调用对象的__call__方法 |
运行结果:
{'monthSalary': 5000, 'yearSalary': 60000, 'daySalary': 166, 'hourSalary': 20}
方法没有重载
在其他语言中,可以定义多个重名的方法,只要保证方法签名唯一即可。方法签名包含 3 个部分:方法名、参数数量、参数类型。
Python 中,方法的的参数没有声明类型(调用时确定参数的类型),参数的数量也可以由可变参数控制。因此,Python 中是没有方法的重载的。定义一个方法即可有多种调用方式,相当于实现了其他语言中的方法的重载。
如果我们在类体中定义了多个重名的方法,只有最后一个方法有效。
建议:不要使用重名的方法!Python 中方法没有重载。
#Python中没有方法的重载。定义多个同名方法,只有最后一个有效
class Person: def say_hi(self): print("hello") def say_hi(self,name): print("{0},hello".format(name)) p1 = Person() #p1.say_hi() #不带参,报错:TypeError:say_hi()missing1 requiredpositionalargument:'name' p1.say_hi("高淇") |
方法的动态性
Python 是动态语言,我们可以动态的为类添加新的方法,或者动态的修改类的已有的方法。
#测试方法的动态性 class Person: def work(self): print("努力上班!") def play_game(self): print("{0}玩游戏".format(self)) def work2(s): print("好好工作,努力上班!") |
Person.play = play_game Person.work = work2 p = Person() p.play() p.work()
我们可以看到,Person 动态的新增了 play_game 方法,以及用 work2 替换了 work 方法。
私有属性和私有方法(实现封装)
Python 对于类的成员没有严格的访问控制限制,这与其他面向对象语言有区别。关于私有属性和私有方法,有如下要点:
- 通常我们约定,两个下划线开头的属性是私有的(private)。其他为公共的(public)。
- 类内部可以访问私有属性(方法)
- 类外部不能直接访问私有属性(方法)
- 类外部可以通过"_类名__私有属性(方法)名"访问私有属性(方法)
【注】方法本质上也是属性!只不过是可以通过()执行而已。所以,此处讲的私有属性和公有属性,也同时讲解了私有方法和公有方法的用法。如下测试中,同时也包含了私有方法和公有方法的例子。
【测试】私有属性和公有属性使用测试
#测试私有属性、私有方法 class Employee: __company = "百战程序员" | #私有类属性. 通过dir可以查到 | |
_Employee__company def __init__(self,name,age): self.name = name self.__age = age | #私有实例属性 | |
def say_company(self): print("我的公司是:",Employee.__company) #类内部 可以直接访问私有属性 print(self.name,"的年龄是:",self.__age) self.__work() def __work(self): #私有实例方法 通过dir可以查到 _Employee__work print("工作!好好工作,好好赚钱,娶个媳妇!") p1 = Employee("高淇",32) print(p1.name) print(dir(p1)) # p1.say_company() print(p1._Employee__age) #通过这种方式可以直接访问到私有属 性 。通过dir可以查到属性:_Employee__age #print(p1.__age) #直接访问私有属性,报错 #p1.__sleep() #直接访问私有方法,报错 | ||
执行结果:
高淇
['_Person__age', '_Person__leg_num', '_Person__sleep', '__class__', '__delattr__',
'__dict__', '__dir__', '__doc__', '__eq__', '__format__', '__ge__', '__getattribute__', '__gt__', '__hash__', '__init__', '__init_subclass__', '__le__', '__lt__', '__module__', '__ne__', '__new__', '__reduce__', '__reduce_ex__', '__repr__', '__setattr__', '__sizeof__', '__str__',
'__subclasshook__', '__weakref__', 'name', 'say_age']
腿的数目: 2 高淇 的年龄是: 18
睡觉
18
从打印的 Person 对象所有属性我们可以看出。私有属性"__age"在实际存储时是按照 "_Person__age"这个属性来存储的。这也就是为什么我们不能直接使用"__age"而可以使用"_Person__age"的根本原因。
@property 装饰器
@property 可以将一个方法的调用方式变成"属性调用"。下面是一个简单的示例,让大家体会一下这种转变:
#简单测试@property class Employee: @property def salary(self): return 30000; emp1 = Employee() print(emp1.salary) #打印30000 print(type(emp1.salary)) #打印<class'int'> #emp1.salary() #报错:TypeError:'int'objectisnot callable #emp1.salary=1000 #@property修饰的属性,如果没有 加setter方法,则为只读属性。此处修改报错:AttributeError:can'tset attribute |
@property 主要用于帮助我们处理属性的读操作、写操作。对于某一个属性,我们可以直接通过:
emp1.salary = 30000
如上的操作读操作、写操作。但是,这种做法不安全。比如,我需要限制薪水必须为 1-10000 的数字。这时候,我们就需要通过 getter、setter 方法来处理。
#测试@property class Employee:
def __init__(self,name,salary): self.name = name self.__salary = salary @property #相当于salary属性的getter方法 def salary(self): print("月薪为{0},年薪为 {1}".format(self.__salary,(12*self.__salary))) return self.__salary; @salary.setter def salary(self,salary): #相当于salary属性的setter方法 if(0<salary<1000000): self.__salary = salary else: print("薪水录入错误!只能在 0-1000000 之间") emp1 = Employee("高淇",100) print(emp1.salary) emp1.salary = -200 |
运行结果:
月薪为 100,年薪为 1200
100
月薪为 100,年薪为 1200
100
薪水录入错误!只能在 0-1000000 之间
属性和方法命名总结
· _xxx:保护成员,不能用"from module import * "导入,只有类对象和子类对象能访问这些成员。
· __xxx__:系统定义的特殊成员
· __xxx: 类中的私有成员,只有类对象自己能访问,子类对象也不能访问。(但,在类外部可以通过"对象名. _类名__xxx"这种特殊方式访问。Python 不存在严格意义的私有成员)
注:再次强调,方法和属性都遵循上面的规则。
类编码风格
- 类名首字母大写,多个单词之间采用驼峰原则。
- 实例名、模块名采用小写,多个单词之间采用下划线隔开。
- 每个类,应紧跟"文档字符串",说明这个类的作用。
- 可以用空行组织代码,但不能滥用。在类中,使用一个空行隔开方法;模块中,使用两个空行隔开多个类。
面向对象三大特征介绍
Python 是面向对象的语言,也支持面向对象编程的三大特性:继承、封装(隐藏)、多态。
·封装(隐藏)
隐藏对象的属性和实现细节,只对外提供必要的方法。相当于将"细节封装起来",只对外暴露"相关调用方法"。
通过前面学习的"私有属性、私有方法"的方式,实现"封装"。Python 追求简洁的语法,没有严格的语法级别的"访问控制符",更多的是依靠程序员自觉实现。
·继承
继承可以让子类具有父类的特性,提高了代码的重用性。
从设计上是一种增量进化,原有父类设计不变的情况下,可以增加新的功能,或者改进已有的算法。
·多态
多态是指同一个方法调用由于对象不同会产生不同的行为。生活中这样的例子比比皆是:同样是休息方法,人不同休息方法不同。张三休息是睡觉,李四休息是玩游戏,程序员休息是"敲几行代码"。
继承
继承是面向对象程序设计的重要特征,也是实现"代码复用"的重要手段。
如果一个新类继承自一个设计好的类,就直接具备了已有类的特征,就大大降低了工作难度。已有的类,我们称为"父类或者基类",新的类,我们称为"子类或者派生类"。
语法格式
Python 支持多重继承,一个子类可以继承多个父类。继承的语法格式如下: class 子类类名(父类 1[,父类 2,...]):类体
如果在类定义中没有指定父类,则默认父类是 object 类。也就是说,object 是所有类的父类,里面定义了一些所有类共有的默认实现,比如:__new__()。
定义子类时,必须在其构造函数中调用父类的构造函数。调用格式如下:父类名.__init__(self, 参数列表)
class Person: def __init__(self,name,age): self.name = name |
self.__age = age def say_age(self): print(self.name,"的年龄是:",self.__age) class Student(Person): def __init__(self,name,age,score): self.score = score Person.__init__(self,name,age) #构造函数中包含调用父类构 造函数。根据需要,不是必须。子类并不会自动调用父类的__init__(),我们必须显式的调用它。 s1 = Student("张三",15,85) s1.say_age() print(dir(s1)) |
运行结果:
张三 的年龄是: 15
['_Person__age', '__class__', '__delattr__', '__dict__', '__dir__', '__doc__', '__eq__', '__format__', '__ge__', '__getattribute__', '__gt__', '__hash__', '__init__', '__init_subclass__', '__le__', '__lt__', '__module__', '__ne__', '__new__', '__reduce__', '__reduce_ex__', '__repr__', '__setattr__', '__sizeof__', '__str__', '__subclasshook__',
'__weakref__', 'name', 'say_age', 'score']
类成员的继承和重写
- 成员继承:子类继承了父类除构造方法之外的所有成员。
- 方法重写:子类可以重新定义父类中的方法,这样就会覆盖父类的方法,也称为"重写"
【操作】继承和重写的案例
class Person: def __init__(self,name,age): self.name = name self.age = age def say_age(self): print(self.name,"的年龄是:",self.age) def say_name(self): print("我是",self.name) class Student(Person): def __init__(self,name,age,score): self.score = score Person.__init__(self,name,age) #构造函数中包含调用父类构造函数 def say_score(self): print(self.name,"的分数是:",self.score) def say_name(self): #重写父类的方法 print("报告老师,我是",self.name) s1 = Student("张三",15,85) s1.say_score() s1.say_name() s1.say_age() |
执行结果:张三 的分数是: 85 报告老师,我是 张三张三 的年龄是: 15
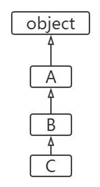
查看类的继承层次结构
通过类的方法 mro()或者类的属性__mro__可以输出这个类的继承层次结构。【操作】 查看类的继承层次结构
class A:pass class B(A):pass class C(B):pass print(C.mro())
执行结果:
[<class '__main__.C'>, <class '__main__.B'>, <class '__main__.A'>, <class 'object'>]
object 根类
object 类是所有类的父类,因此所有的类都有 object 类的属性和方法。我们显然有必要深入研究一下 object 类的结构。对于我们继续深入学习 Python 很有好处。
dir()查看对象属性
为了深入学习对象,我们先学习内置函数 dir(),他可以让我们方便的看到指定对象所有的属性。
【测试】查看对象所有属性以及和 object 进行比对
class Person:
def __init__(self,name,age): self.name = name self.age = age def say_age(self): print(self.name,"的年龄是:",self.age) obj = object() print(dir(obj)) s2 = Person("高淇",18) print(dir(s2)) |
执行结果:
['__class__', '__delattr__', '__dir__', '__doc__', '__eq__', '__format__', '__ge__', | |
'__getattribute__', '__gt__', '__hash__', '__init__', '__init_subclass__', '__le__', '__lt__', | |
'__ne__', '__new__', '__reduce__', '__reduce_ex__', '__repr__', '__setattr__', '__sizeof__', | |
'__str__', '__subclasshook__'] | |
['__class__', '__delattr__', '__dict__', '__dir__', '__doc__', '__eq__', '__format__', '__ge__', '__getattribute__', '__gt__', '__hash__', '__init__', '__init_subclass__', '__le__', '__lt__', '__module__', '__ne__', '__new__', '__reduce__', '__reduce_ex__', '__repr__', '__setattr__',
'__sizeof__', '__str__', '__subclasshook__', '__weakref__', 'age', 'name', 'say_age']
从上面我们可以发现这样几个要点:
- Person 对象增加了六个属性:
__dict__ __module__ __weakref__ age name say_age
- object 的所有属性,Person 类作为 object 的子类,显然包含了所有的属性。
- 我们打印 age、name、say_age,发现 say_age 虽然是方法,实际上也是属性。只不过,这个属性的类型是"method"而已。 age <class 'int'> name <class 'str'> say_age <class 'method'>
【注】关于 object 这些属性的详细学习,会在后面学习中逐个涉及。在此,无法一一展开。
重写__str__()方法
object 有一个__str__()方法,用于返回一个对于"对象的描述",对应于内置函数 str() 经常用于 print()方法,帮助我们查看对象的信息。__str__()可以重写。
class Person: def __init__(self,name,age): self.name = name self.__age = age def __str__(self): '''将对象转化成一个字符串,一般用于print方法''' return "名字是:{0},年龄是{1}".format(self.name,self.__age) p = Person("高淇",18) print(p) |
运行结果:名字是:高淇,年龄是 18
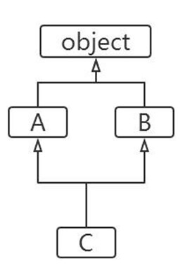
多重继承
Python 支持多重继承,一个子类可以有多个"直接父类"。这样,就具备了"多个父类"的特点。但是由于,这样会被"类的整体层次"搞的异常复杂,尽量避免使用。
#多重继承 class A: def aa(self): print("aa") class B: def bb(self): print("bb") class C(B,A): def cc(self): print("cc") c = C() c.cc() c.bb() c.aa() |
|
运算结果: cc bb aa
MRO()
Python 支持多继承,如果父类中有相同名字的方法,在子类没有指定父类名时,解释器将
"从左向右"按顺序搜索。
MRO(Method Resolution Order):方法解析顺序。 我们可以通过 mro()方法获得
"类的层次结构",方法解析顺序也是按照这个"类的层次结构"寻找的。
#多重继承 class A: def aa(self): print("aa") def say(self): print("say AAA!") class B: def bb(self): print("bb") def say(self): print("say BBB!") class C(B,A): def cc(self): print("cc") c = C() print(C.mro()) #打印类的层次结构 c.say() #解释器寻找方法是"从左到右"的方式寻找,此时会执行B 类中的say() |
super()获得父类定义在子类中,如果想要获得父类的方法时,我们可以通过 super()来做。 super()代表父类的定义,不是父类对象。
#super() class A: def say(self): print("A: ",self) print("say AAA") class B(A): def say(self): #A.say(self) 调用父类的say方法 super().say() #通过super()调用父类的方法 print("say BBB") b = B() b.say() |
运行结果:
A: <__main__.B object at 0x007A5690> say AAA say BBB
多态
多态(polymorphism)是指同一个方法调用由于对象不同可能会产生不同的行为。在现实生活中,我们有很多例子。比如:同样是调用人的休息方法,张三的休息是睡觉,李四的休息是玩游戏,高淇老师是敲代码。同样是吃饭的方法,中国人用筷子吃饭,英国人用刀叉吃饭,印度人用手吃饭。
关于多态要注意以下 2 点:
- 多态是方法的多态,属性没有多态。
- 多态的存在有 2 个必要条件:继承、方法重写。
#多态
class Animal: def shout(self): print("动物叫了一声") class Dog(Animal): def shout(self): print("小狗,汪汪汪") class Cat(Animal): def shout(self): print("小猫,喵喵喵") def animalShout(a): if isinstance(a,Animal): a.shout() #传入的对象不同,shout方法对应的实际行为也不同。 animalShout(Dog()) animalShout(Cat()) |
运行结果:小狗,汪汪汪小猫,喵喵喵
特殊方法和运算符重载
Python 的运算符实际上是通过调用对象的特殊方法实现的。比如:
a = 20 b = 30
|
运算结果: c= 50 d= 50
常见的特殊方法统计如下:
方法 | 说明 | 例子 |
__init__ | 构造方法 | 对象创建:p = Person() |
__del__ | 析构方法 | 对象回收 |
__repr__,__str__ | 打印,转换 | print(a) |
__call__ | 函数调用 | a() |
__getattr__ | 点号运算 | a.xxx |
__setattr__ | 属性赋值 | a.xxx = value |
__getitem__ | 索引运算 | a[key] |
__setitem__ | 索引赋值 | a[key]=value |
__len__ | 长度 | len(a) |
每个运算符实际上都对应了相应的方法,统计如下:
运算符 | 特殊方法 | 说明 |
运算符+ | __add__ | 加法 |
运算符- | __sub__ | 减法 |
<,<=,== | __lt__,__le__,__eq__ | 比较运算符 |
>,>=,!= | __gt__,__ge__,__ne__ | |
|,^,& | __or__,__xor__,__and__ | 或、异或、与 |
<<,>> | __lshift__,__rshift__ | 左移、右移 |
*,/,%,// | __mul__,__truediv__,__mod__,_ _floordiv__ | 乘、浮点除、模运算 (取余)、整数除 |
** | __pow__ | 指数运算 |
我们可以重写上面的特殊方法,即实现了"运算符的重载"。
#测试运算符的重载 class Person: def __init__(self,name): self.name = name def __add__(self, other): if isinstance(other,Person): return "{0}--{1}".format(self.name,other.name) else: return "不是同类对象,不能相加" def __mul__(self, other): if isinstance(other,int): return self.name*other else: return "不是同类对象,不能相乘" p1 = Person("高淇") p2 = Person("高希希") x = p1 + p2 print(x) print(p1*3) |
运算结果:
高淇--高希希高淇高淇高淇
特殊属性
Python 对象中包含了很多双下划线开始和结束的属性,这些是特殊属性,有特殊用法。这里我们列出常见的特殊属性:
特殊方法 | 含义 | ||
obj.__dict__ | 对象的属性字典 | ||
obj.__class__ | 对象所属的类 | ||
class.__bases__ | 类的基类元组(多继承) | ||
class.__base__ | 类的基类 | ||
class.__mro__ | 类层次结构 | ||
class.__subclasses__() | 子类列表 | ||
#测试特殊属性 class A: pass class B: pass class C(B,A): def __init__(self,nn): self.nn = nn def cc(self): print("cc") c = C(3) print(dir(c)) print(c.__dict__) print(c.__class__) print(C.__bases__) print(C.mro()) print(A.__subclasses__()) | |||
运行结果:
['__class__', '__delattr__', '__dict__', '__dir__', '__doc__', '__eq__', '__format__', '__ge__', '__getattribute__', '__gt__', '__hash__', '__init__', '__init_subclass__', '__le__', '__lt__', '__module__', '__ne__', '__new__', '__reduce__', '__reduce_ex__', '__repr__', '__setattr__', '__sizeof__', '__str__', '__subclasshook__', '__weakref__', 'cc', 'nn']
{'nn': 3}
<class '__main__.C'>
(<class '__main__.B'>, <class '__main__.A'>)
[<class '__main__.C'>, <class '__main__.B'>, <class '__main__.A'>, <class 'object'>]
[<class '__main__.C'>]

浙公网安备 33010602011771号