5.24打卡
一、问题描述:
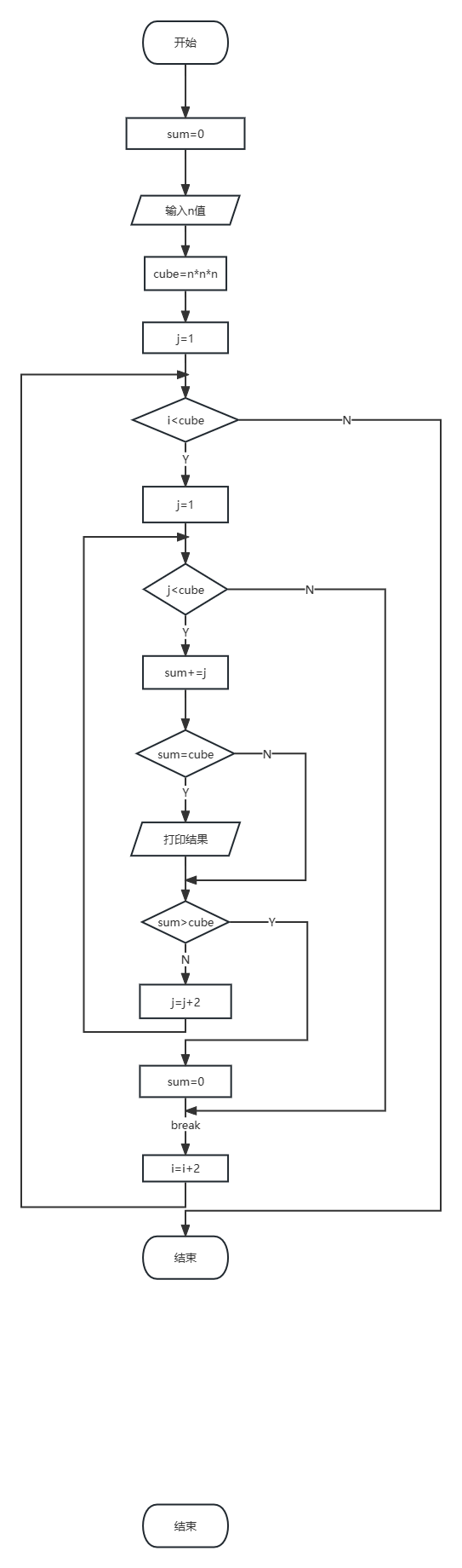
尼科彻斯定理可以叙述为:任何一个整数的立方都可以表示成一串连续的奇数的和。
二、设计思路:
根据问题分析,该问题可使用循环结构来实现。
首先定义变量n用来保存输入的某个整数,并计算站n的立方,用变量cube来表示。接着使用双重循环来查找这串连续的奇数。在双重循环中,定义外层循环变量为i,它控制尝试的次数,定义内层循环变量为j,它控制找到的这串奇数的长度。
三、程序流程图

四、代码实现
#include<stdio.h>
int main()
{
int cube;
int i,j,n,sum=0;
printf("请输入n值:");
scanf("%d",&n);
cube=n*n*n;
for(i=1;i<cube;i=i+2)
{
for(j=i;j<cube;j=j+2)
{
sum+=j;
if(sum==cube)
{
printf("%d=%d+%d+...+%d\n",cube,i,i+2,j);
}
if(sum>cube)
{
sum=0;
break;
}
}
}
}
浙公网安备 33010602011771号