5.16打卡
一、问题描述:
本节要研究孪生素数的问题,先来看看什么是孪生素数。
所谓孪生素数指的是间隔为2的两个相邻素数,因为它们之间的距离已经近的不能再近了,如同李生兄弟一样,所以将这一对素数称为孪生素数。
显然,最小的一对孪生素数是(1,3)。我们可以写出3~100以内的孪生素数,一共有8对,分别是(3,5),(5,7),(11,13),(17,19)(29,31),(41,43),(59,61)和(71,73)。随着数字的增大,孪生素数的分布也越来越稀疏,人工寻找孪生素数变得非常困难。
关于孪生素数还存在着一个著名的猜想——孪生素数猜想,即孪生素数是否有无穷多对,这是数论中还有待解决的一个重要问题。此处我们只讨论在有限范围内的孪生素数求解问题。
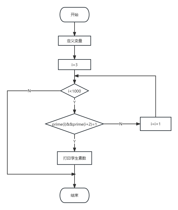
本节要解决的问题是:编程求出3~1000以内的所有孪生素数。
二、设计思路:
在问题分析中,我们已经确定要采用穷举法逐一考察3~1000以内的每个整数,因此在本题的算法设计中需要采用循环结构。
在判断是否为素数时可以定义一个函数prime),每次判断整数n是否为素数时都将n作为实参传递给函数prime(),在prime()函数中使用前面介绍过的判别素数的方法进行判断。如果n为素数,则prime(函数返回值为1,否则prime()函数返回值为0。
三、程序流程图

四、代码实现
#include<stdio.h>
#include<math.h>
int prime(int n)
{
int j;
long k;
k=sqrt(n)+1;
for(j=2;j<=k;j++)
{
if(n%j==0)
return 0;
}
return 1;
}
int main()
{
int i,count=0;
printf("The twin prime pairs between 3 and 1000 are: \n");
for (i=3;i<1000;i++)
if(prime(i)&&prime(i+2))
{
printf("(%-3d,%3d) ",i,i+2);
count++;
if(count%5==0)
printf("\n");
}
}
浙公网安备 33010602011771号