5.15打卡
一、问题描述:
2000以内的不小于4的正偶数都能够分解为两个素数之和(即验证歌德巴赫猜想对2000以内的正偶数成立)。
二、设计思路:
该问题我们可以采用函数来解决。
定义一个函数,函数名设为fun,在其中判断传进来的实际参数(设为n(n=2)),是否为素数,如果是素数则返回1,否则返回0。在判断是否为素数时,可以采用5.1节中介绍的方法。需要注意的是,在所有偶数中,只有2是唯一的素数。因此,在函数fun中,可以分为以下4种情况来判断。
n=2,是素数,返回1。
n是偶数,不是素数,返回0。
n是奇数,不是素数,返回0。
n=2,是素数,返回1。
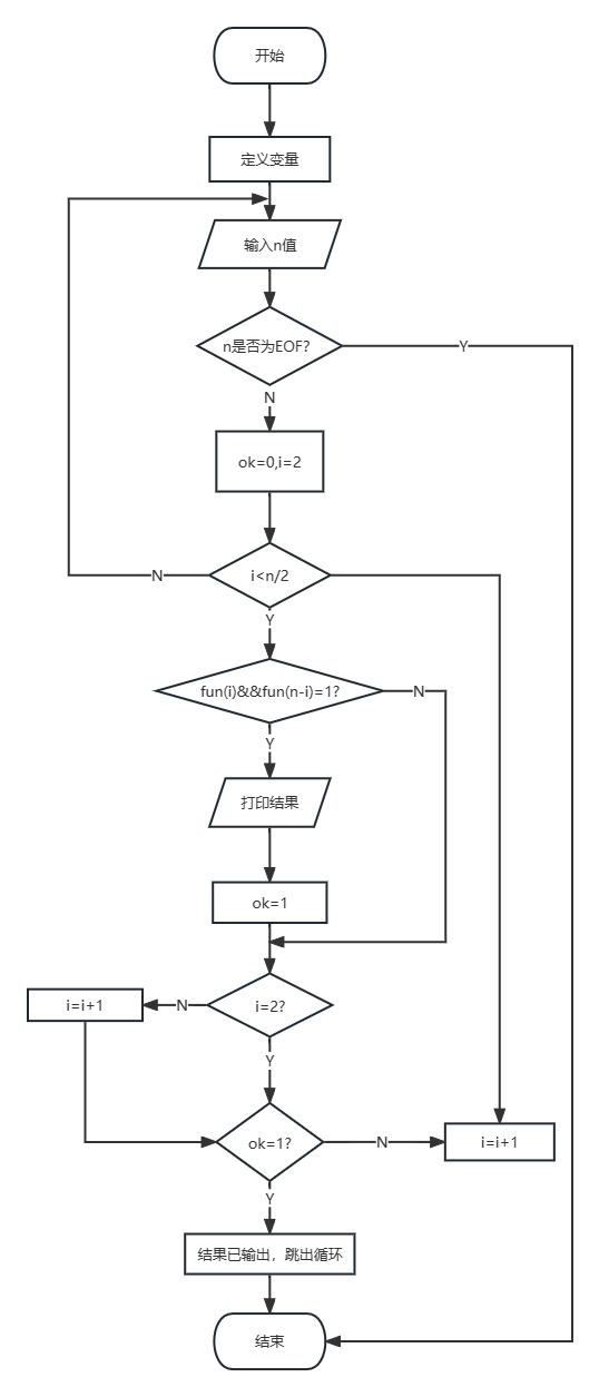
在主函数中,使用循环结构,每输入一个数据就处理一次,直到遇到文件结束符则终止输入。下面详述主函数中处理数据的过程。
由于我们已经对输出做了限定,即当输出结果时,如果有多组解,则输出a最小的那组解。显然,对每个读入的数据n,a必然小于或等于n/2,因此,定义循环变量i,使其从2~n/2进行循环,每次循环都做如下判断:fun(i)&&fun(n-i)是否为1。
如果fun(i)&&fun(n-i)=1,则表示fun(i)=1同时fun(n-i)=1。由fun)函数的定义可知,此时i和n-i都为素数,又由于i是从2~n/2按由小到大的顺序来迭代的,因此(i, n-i)是我们求出的一组解,且该组解必然是所有可能解中a值最小的。还需要注意的是,由于除了2以外的偶数不可能是素数,因此i值的可能取值只能是2和所有的奇数。
三、程序流程图

四、代码实现
#include<math.h>
#include<stdio.h.>
int fun(int n)
{
int i;
if(n==2)
return 1;
if(n%2==0)
return 0;
for(i=3;i<=sqrt(n);i+=2)
if(n%i==0)
return 0;
return 1;
}
int main()
{
int n,i,ok;
while(scanf("%d",&n)!=EOF)
{
ok=0;
for(i=2;i<=n/2;i++)
{
if (fun(i))
if(fun(n-i))
{
printf("%d %d\n",i,n-i);
ok=1;
}
if(i!=2)
i++;
if(ok)
break;
}
}
}
浙公网安备 33010602011771号