4.24打卡
一、问题描述:
魔术师利用一副牌中的 13 张黑桃,预先将它们排好后迭在一起,并使牌面朝下。然后他对观众说:我不看牌,只要数数就可 猜到每张牌是什么,我大声数数,你们听,不信?你们就看,魔术师将最上面的那张牌数为1,把它翻过来正好是黑桃A,他将黑桃A放在桌子上,然后按顺序从上到下数手中的余牌,第二次数1、2,将第一张牌放在这迭牌的下面,将第二张牌翻过来,正好是黑桃2,也将它放在桌子上,第三次数1、2、3,将前面两张依次放在这迭牌的下面,再翻第三张牌正好是黑桃3,这样依次进行,将13张牌全部翻出来,准确无误。问魔术师手中的牌原始次序是怎样安排的?
二、设计思路:
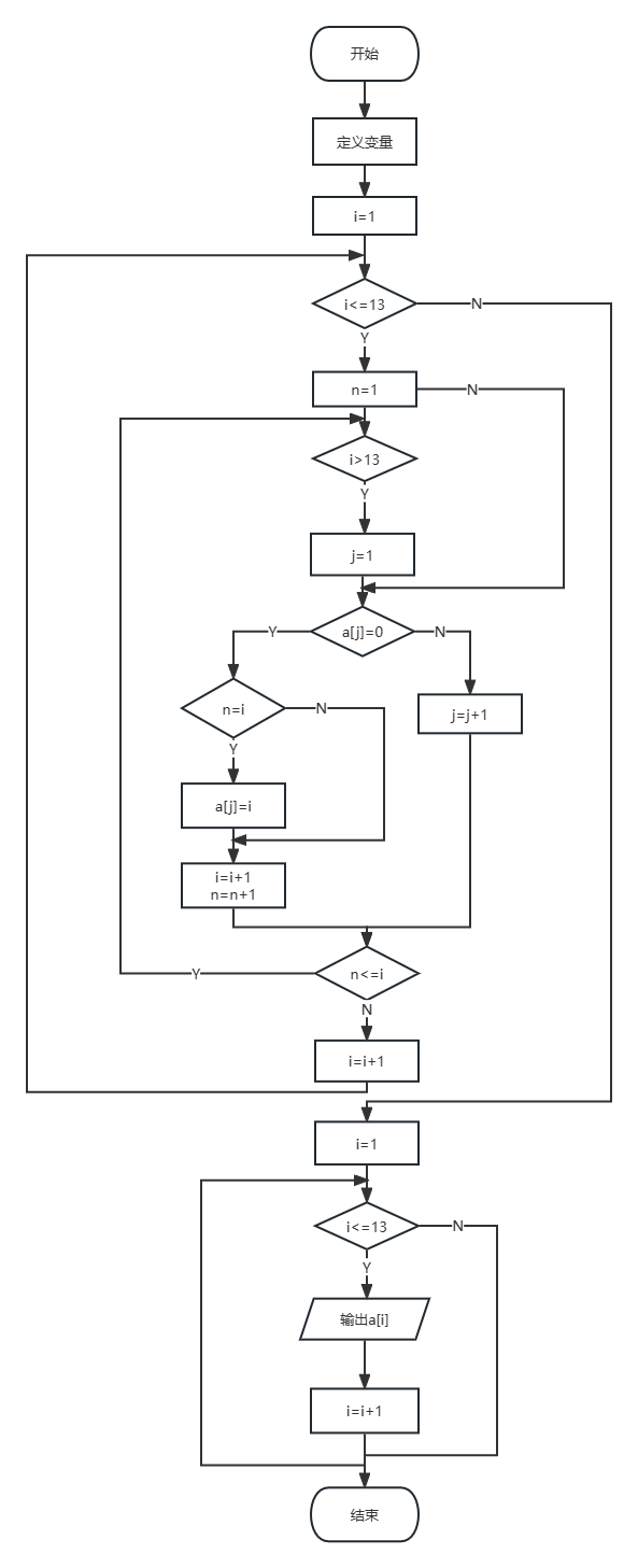
根据问题分析,使用循环结构来实现程序。使用程序将分析过程模拟出来,就可以计算出魔术师手中牌的原始次序。由于有13张牌,因此显然要循环13次,每次循环时找到与牌序号对应的那个空盒子,因此循环体完成的功能就是找到对应的空盒子将牌存入。
三、程序流程图

四、代码实现
#include<stdio.h>
int a[14];
main()
{
int i,j=1,n;
printf("魔术师手中的牌原始次序是:\n");
for(i=1;i<=13;i++)
{
n=1;
do
{
if(j>13)
j=1;
if(a[j])
j++;
else
{
if(n==i)
a[j]=i;
j++;
n++;
}
}while(n<=i);
}
for(i=1;i<=13;i++)
printf("%d",a[i]);
printf("\n");
}
浙公网安备 33010602011771号