2024-06-23 - 大模型技术及交叉应用- 第二章 - 清华大学 - 刘知远
摘要
2024-06-23 周日 杭州 小雨转大雨转中雨转暴雨
小记: 上周陪高中的好兄弟在杭州吃喝玩乐了几天,看完狗阵突然冒出一个点子,体重不到120斤以就一直剪光头,这几个月已经减了12斤了,来个冲刺(做个狠人)。
2024-07-14 周日 杭州 阴雨绵绵
小记: 体重差 0.1 公斤就是标准体重了,这才意识到原来过去的三年自己一直是个小胖子。
课程内容

1. 神经网络基本概念


- 单层神经网络


- 多层神经网络


- 激活函数


- 输出层



- 总结

2. 训练神经网络
- 回归训练

- 分类预测

- 交叉熵

- 损失函数





- 计算图


- 反向传播


3. 词向量(World2Vec)



- 滑动窗口




4. 循环神经网络&卷积神经网络
- 序列记忆

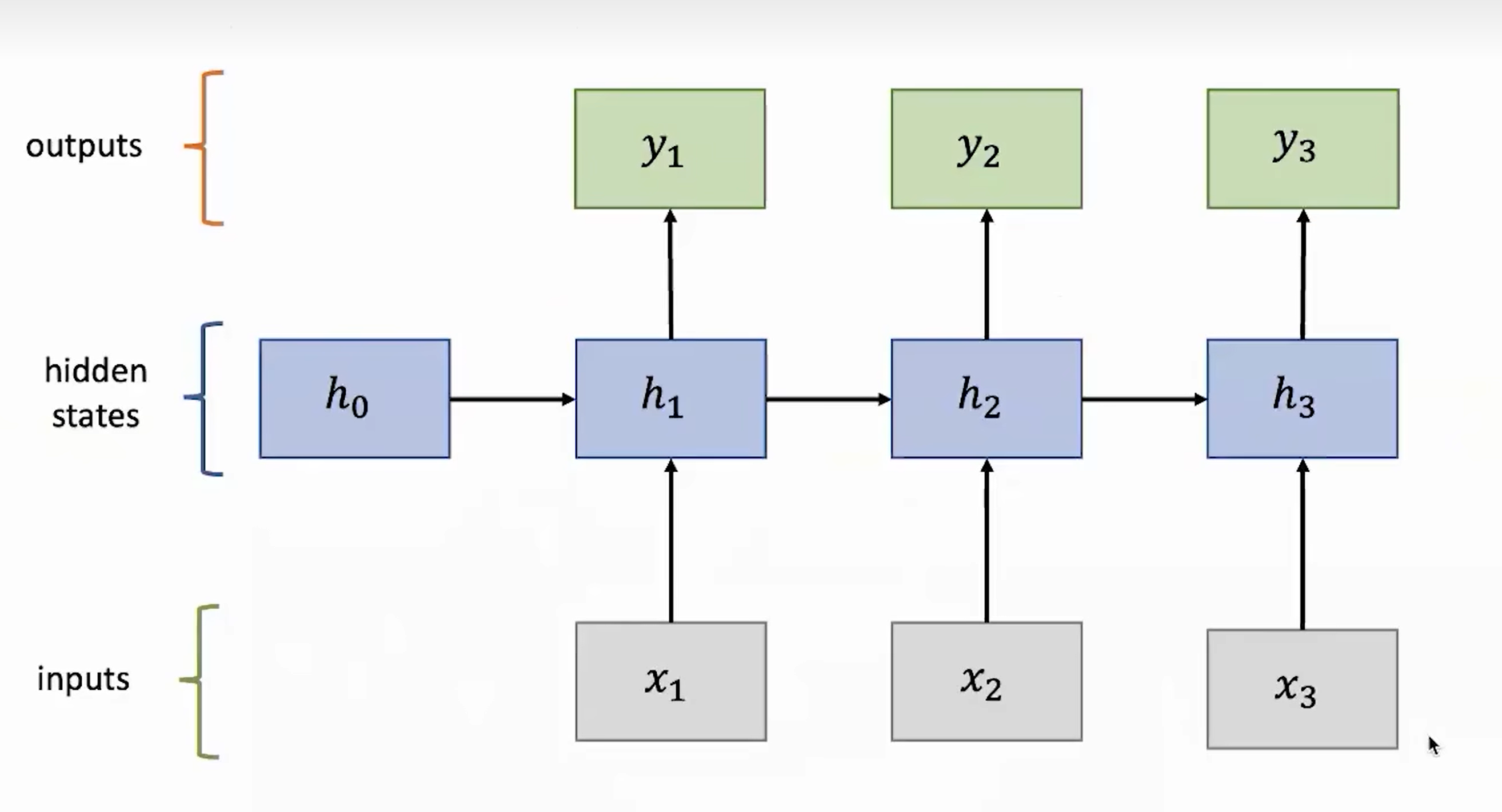
- RNN 网络






6. 门控循环单元(GRU)



7. 长短期记忆网络(LSTM)


8. 双向 RNN


9. 卷积神经网络(CNN)






10. 基于 PyTorch 训练模型(演示课)

总结
潮湿燥热的6月终于过去了,7月还是那么热。
后会无期,未来可期!

浙公网安备 33010602011771号