希尔密码(Hill Cipher)体制
另一种多表代换密码是希尔密码,这种密码体制是Lester S. Hill于1929年提出的。希尔密码的主要思想是利用线性变换的方法,只是这种变换是在Z26上进行的。
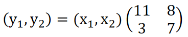
例如,设m=2,每个明文单元使用x=(x1,x2)来表示,同样密文单元使用y=(y1,y2)来表示。具体加密中,y1,y2将被表示为x1,x2的线性组合。例如:
y1=(11x1+3x2)mod 26
y2=(8x1+7x2)mod 26
使用矩阵,可将上式简写成

以上的运算都是在Z26上进行的。
密钥K一般是m*m的矩阵,记为K=(ki,j),则密文表示为y=xK,相应的明文是x=yK-1。


浙公网安备 33010602011771号