【2019】A Game-Theoretic Approach to Computation Offloading in Satellite Edge Computing
A Game-Theoretic Approach to Computation Offloading in Satellite Edge Computing
| 文献类型 | 文献年份 | 文献来源 |
|---|---|---|
| 期刊 | 2019年 | IEEE Access |
标题
基于博弈论的计算分流算法
关键词
- 博弈论
- 卫星边缘计算
- 计算分流
abstract
考虑了卫星绕行引起的间歇性地面卫星通信。 我们进行了一个计算卸载游戏框架,并根据排队论作为优化性能的指标,计算了任务的响应时间和能耗。 从理论上证明了纳什均衡的存在性和唯一性,并提出了一种迭代算法来找到纳什均衡。 仿真结果验证了该算法的有效性,并表明基于游戏的卸载策略可以大大降低设备的平均成本。
- 考虑到卫星引起的间歇性通信,只有在窗口期才能够进行通信
- 假设一个卫星上只部署一个MEC服务器
- 基于排队论
- KPI:响应时延与能耗
模型
1-卫星的轨道模型

| 变量 | 含义 |
|---|---|
| \(\phi_{t}\) | 设备的经度 |
| \(\varphi_ {t}\) | 设备的维度 |
| \(\phi_{s}\) | 卫星的经度 |
| \(\varphi_ {s}\) | 卫星的维度 |
| \(\Delta\phi =\phi_ {t}-\phi_ {s}\) | 设备与卫星的经度差 |
| \(R_{e}\) | 地球半径 |
| \(h\) | 卫星距离地面高度 |
只有当\(\alpha>0\)才能进行数据的传输,并且我们假设地面的设备距离很近,他们在一个固定的很小的区域内,因此它们与卫星的几何关系相同
根据仰角\(\alpha\)的正负,正就是可以通信,负无法通信,我们定义一个(轨道)周期内的通信时间
\(\theta_{j}\)表示设备在轨道周期内可以与卫星J通信的时间的百分比。
2-通信模型
注意:
- 只考虑上载,返回结果这一部分忽略,(这是因为结果数据远远小于输入数据)
- 考虑到移动设备间的干扰
移动设备i任务到卫星j的上行链路数据速率\(R_{i,j}\)
B表示信道带宽,pi表示设备i的发射功率,\(g_{i,j}\)表示设备i与卫星j之间的信道增益,σ0表示背景噪声功率
根据上载数据链路\(R_{i,j}\)的公式可以得到
- 任务的传输速率\(R_{i,j}\)与设备的发射功率\(P_{i}\)成正相关
- 过高的发射功率\(P_{i}\)会导致过多的能量消耗
- 过多设备的卸载,将导致速率降低
3-计算模型
假设每个移动设备可以生成一系列同类任务。 设备i生成的任务可以用所需的资源和数据大小来表示,即Taski = {ci,di}
- 其中ci表示执行任务所需的计算资源数量; 例如,可以通过CPU周期数来量化ci
- di表示描述任务的某些信息(例如程序代码或相应数据)的计算输入文件的大小
- \(C_{i}^{(m)}\)和\(C_{j}^{(s)}\)是设备和卫星的计算能力,用一秒CPU周期数表示
地面设备和卫星可以看作是个排队的M/G/1模型
- 任务的生成是指数分布,任务的执行是随机分布
- 每个任务的生成是独立同分布的iid,
- 任务以\(\lambda_{i}\)生成,指数分布的均值就是\(1/\lambda_{i}\)
设备i在本地执行并和分流到卫星的任务的百分比定义为设备i的计算分流策略
\(x_{i,0}\)表示本地执行的任务的百分比,\(x_{i,j}\)表示分配给卫星\(j\)的百分比
满足一下约束条件
表示1.百分比只可能为正数或者是0(表示不往该设备卸载)2.所用的相加要等于1,3.隐含的每个要小于1
博弈论模型
The strategy of player i is the percentage of tasks that are executed locally on a device or offloaded to satellite, denoted by xi =
xi,0, xi,1, . . . , xi,M ∈ Xi, as described in Section III.
Here, Xi, which is the set of strategies ofdevice i, is closed and
convex (because ofXi ⊆ RM and xi,0+ xi,1+ . . .+ xi,M = 1).
-
这里的\(X_{i}\)就是设备i的策略集,令\(X=X_{1}*X_{2}*...X_{N}\)是所有设备策略组合的集合
-
所有设备的整体策略我们可以用\(\mathbf{x}=\left\{\mathbf{x}_{1}, \mathbf{x}_{2}, \ldots, \mathbf{x}_{N}\right\} \in X\)表示中间的\(\mathbf{x_{i}}\)表示设备i的策略
-
\(\mathbf{x_{-i}}=\left\{\mathbf{x}_{1},... \mathbf{x}_{i-1}, \mathbf{x}_{i+1}\ldots, \mathbf{x}_{N}\right\} \in X\)表示除玩家\(i\)以外的所有玩家策略的向量
KPI指标(性能指标)选择平均响应时延与平均功耗,玩家\(i\)(设备)的成本函数

这是一个典型的博弈论问题。 要优化的目标函数不仅与其策略有关,而且与其他参与者的策略有关。
指标计算
分流到卫星
如果移动设备i将任务卸载到卫星j,则需要执行三个步骤:
- 卸载任务,
- 在卫星上执行,
- 然后返回结果
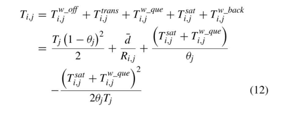
由于卫星的高动态性,设备i不能总是与卫星j通信。 因此,在卸载和返回时都应考虑通信的等待时间
- 卸载的平均响应时间


\(T_{j} \gg T_{i, j}^{s a t}+T_{i, j}^{w_{-} q u e}\) \(T_{j}\)是卫星j的轨道周期
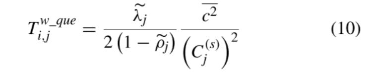
根据排队理论[34],卫星j上任务的平均排队等待时间为 (M/G/1)

总式子

- 能耗
传输能耗、执行能耗
执行能耗与CPU频率的平方成正比
传输能耗
执行能耗
其中κ是取决于芯片架构的有效开关电容
总式子
分流到本地执行
-
时延
排队时延+执行时延 (对比少了,传输,卫星上排队时间,等待返回,)
\[T_{i, 0}=T_{i, 0}^{w_{-} q u e}+T_{i, 0}^{l o c} \]执行时延
\[T_{i, 0}^{l o c}=\frac{\bar{c}}{C_{i}^{(m)}} \]本地排队时延
\[T_{i, 0}^{w a i t}=\frac{\lambda_{i}}{2\left(1-\rho_{i}\right)} \frac{\overline{c^{2}}}{\left(C_{i}^{(m)}\right)^{2}}=\frac{x_{i, 0} \lambda_{i} \overline{c^{2}}}{2\left(C_{i}^{(m)}-x_{i, 0} \lambda_{i} \bar{c}\right) C_{i}^{(m)}} \]总式子
\[T_{i, 0}=T_{i, 0}^{w_{-} q u e}+T_{i, 0}^{l o c}=\frac{x_{i, 0} \lambda_{i} \overline{c^{2}}}{2\left(C_{i}^{(m)}-x_{i, 0} \lambda_{i} \bar{c}\right) C_{i}^{(m)}}+\frac{\bar{c}}{C_{i}^{(m)}} \] -
能耗
\[E_{i, 0}=\kappa\left(C_{i}^{(m)}\right)^{2} \bar{c} \]
总式子
-
时延
\[T_{i}=x_{i, 0}\left(T_{i, 0}^{w a i t}+T_{i, 0}^{l o c}\right)+\sum_{j=1}^{M} x_{i, j} T_{i, j} \] -
能耗
\[E_{i}=x_{i, 0} E_{i, 0}+\sum_{j=1}^{M} x_{i, j} E_{i, j} \]
纳什均衡的证明与唯一性
两个引理:
Lemma 1: At least one Nash equilibrium for a non-cooperative game G = {x1, x2, . . . , xN; P1, P2, . . . , PN}
is existence if, for all 1 ≤ i ≤ N:(1) The strategy space Xi is a non-empty, convex, and compact subset of some Euclidean space.
(2) The cost function Pi (xi, x−i) is continues and
quasi-convex in Xi.
非合作博弈,至少有一个Nash均衡:
-
条件1 :策略空间Xi是某些欧几里得空间的非空,凸且紧致子集
-
条件2:成本函数Pi(xi,x−i)连续且在Xi中为准凸
第一个引理,证明至少有一个Nash均衡
Lemma 2: A continuous and twice differentiable function P(x), where x = (x1, x2, . . . , xM), is convex if and only if its Hessian matrix of second partial derivatives is positive semidefinite.
有点难,没看懂
仿真参数
轨道选择是铱星

结论



浙公网安备 33010602011771号