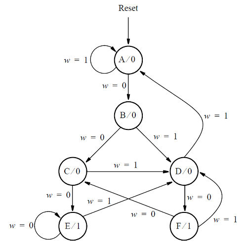
考虑如下所示的状态机,它有一个输入 w 和一个输出 z 。

实现状态机。 (这部分不在期中,但编写 FSM 是一种很好的做法)。
module top_module (
input clk,
input reset, // synchronous reset
input w,
output z);
parameter A=6'b000001,B=6'b000010,C=6'b000100,D=6'b001000,E=6'b010000,F=6'b100000;
wire [5:0] state,nstate;
always@(posedge clk)
if(reset)
state<=A;
else
state<=nstate;
always@(*)
case(state)
A:nstate=w?A:B;
B:nstate=w?D:C;
C:nstate=w?D:E;
D:nstate=w?A:F;
E:nstate=w?D:E;
F:nstate=w?D:C;
default:nstate=A;
endcase
assign z=state==E|state==F;
endmodule
浙公网安备 33010602011771号