1500字uml
# UML图
统一建模语言(Unified Modeling Language,UML)是用来设计软件的可视化建模语言。它的特点是简单、统一、图形化、能表达软件设计中的动态与静态信息。
UML 从目标系统的不同角度出发,定义了用例图、类图、对象图、状态图、活动图、时序图、协作图、构件图、部署图等 9 种图。
## 类图概述
类图(Class diagram)是显示了模型的静态结构,特别是模型中存在的类、类的内部结构以及它们与其他类的关系等。类图不显示暂时性的信息。类图是面向对象建模的主要组成部分。
## 类图的作用
- 在软件工程中,类图是一种静态的结构图,描述了系统的类的集合,类的属性和类之间的关系,可以简化了人们对系统的理解;
- 类图是系统分析和设计阶段的重要产物,是系统编码和测试的重要模型。
在UML类图中,类使用包含类名、属性(field) 和方法(method) 且带有分割线的矩形来表示,比如下图表示一个Employee类,它包含name,age和address这3个属性,以及work()方法。

属性/方法名称前加的加号和减号表示了这个属性/方法的可见性,UML类图中表示可见性的符号有三种:
- +:表示public
- -:表示private
- \#:表示protected
属性的完整表示方式是: **可见性 名称 :类型 [ = 缺省值]**
方法的完整表示方式是: **可见性 名称(参数列表) [ : 返回类型]**
### 类与类之间关系的表示方式
关联关系是==对象之间的一种引用关系==,用于表示==一类对象与另一类对象之间的联系==,如老师和学生、师傅和徒弟、丈夫和妻子等。关联关系是类与类之间最常用的一种关系,分为==一般关联关系、聚合关系和组合关系==。
##### 一般关联关系
关联又可以分为==单向关联,双向关联,自关联==。
**1,单向关联**

在UML类图中单向关联用一个带箭头的实线表示。上图表示每个顾客都有一个地址,这通过让==Customer类持有一个类型为Address的成员变量类实现==。
**2,双向关联**

双向关联就是==双方各自持有对方类型的成员变量==。
在UML类图中,双向关联用一个不带箭头的直线表示。上图中在Customer类中维护一个List\<Product>,表示一个顾客可以购买多个商品;在Product类中维护一个Customer类型的成员变量表示这个产品被哪个顾客所购买。
**3,自关联**
自关联在UML类图中用一个带有箭头且指向自身的线表示。上图的意思就是==Node类包含类型为Node的成员变量==,也就是“自己包含自己”。

##### 聚合关系
聚合关系是==关联关系的一种==,是==强关联关系==,==是整体和部分之间的关系==。
聚合关系也是通过==成员对象==来实现的,其中==成员对象是整体对象的一部分==,但是==成员对象可以脱离整体对象而独立存在==。例如,学校与老师的关系,学校包含老师,但如果学校停办了,老师依然存在。
在 UML 类图中,聚合关系可以用带空心菱形的实线来表示,**菱形指向整体**。下图所示是大学和教师的关系图:

##### 组合关系
组合表示==类之间的整体与部分的关系==,但它是一种==更强烈的聚合关系==。 ^4a0853
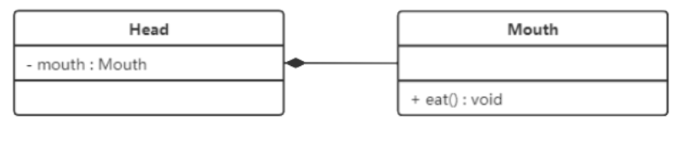
在组合关系中,**整体对象可以控制部分对象的生命周期**,==一旦整体对象不存在,部分对象也将不存在,部分对象不能脱离整体对象而存在==。例如,头和嘴的关系,没有了头,嘴也就不存在了。
在 UML 类图中,组合关系用带实心菱形的实线来表示,菱形指向整体。下图所示是头和嘴的关系图:

#### 依赖关系
依赖关系是一种==使用关系==,它是==对象之间耦合度最弱的一种关联方式,是临时性的关联==。在代码中,某个类的**方法**通过局部变量、方法的参数或者对静态方法的**调用来访问另一个类(被依赖类)中的某些方法来完成一些职责**。
在 UML 类图中,依赖关系使用带箭头的虚线来表示,箭头==从使用类指向被依赖的类==。下图所示是司机和汽车的关系图,司机驾驶汽车:

#### 继承关系
继承关系是==对象之间耦合度最大的一种关系==,表示==一般与特殊的关系==,是父类与子类之间的关系,是一种继承关系。
在 UML 类图中,泛化关系用带空心三角箭头的实线来表示,箭头==从子类指向父类==。在代码实现时,使用面向对象的继承机制来实现泛化关系。例如,Student 类和 Teacher 类都是 Person 类的子类,其类图如下图所示:

#### 实现关系
实现关系是==接口与实现类之间的关系==。在这种关系中,类实现了接口,类中的操作实现了接口中所声明的所有的抽象操作。
在 UML 类图中,实现关系使用带空心三角箭头的虚线来表示,箭头从实现类指向接口。例如,汽车和船实现了交通工具


浙公网安备 33010602011771号