p5.查找算法
查找算法
1.顺序查找
顺序查找又称为线性查找,对于顺序表和链表都适用。
这里的顺序查找适用的哨兵:
将要查找的数组的第0个位置留给哨兵,从后向前循环,可以更加简洁
ElemType ST_Search(SSTable ST, ElemType key)
{
ST.elem[0] = key;
int i;
for (i = ST.TableLen-1; ST.elem[i] != ST.elem[0] ;i--) {
}
return i;
}
全部代码:
#include <stdio.h>
#include <stdlib.h>
#include <time.h>
typedef int ElemType;
typedef struct SSTable{
ElemType *elem;
int TableLen;
};
void ST_Init(SSTable &ST,int length)
{
ST.TableLen = length + 1;
ST.elem = (ElemType*) malloc(sizeof (SSTable) * ST.TableLen);
int i;
srand(time(NULL));
for (i=1;i<ST.TableLen;i++)
{
ST.elem[i] = rand() % 100;
}
}
void ST_Print(SSTable ST)
{
for (int i = 1; i < ST.TableLen; ++i) {
printf("%3d",ST.elem[i]);
}
printf("\n");
}
ElemType ST_Search(SSTable ST, ElemType key)
{
ST.elem[0] = key;
int i;
for (i = ST.TableLen-1; ST.elem[i] != ST.elem[0] ;i--) {
}
return i;
}
int main() {
SSTable ST;
ST_Init(ST,15);
ST_Print(ST);
ElemType res;
ElemType key;
scanf("%d",&key);
res= ST_Search(ST,key);
if (res)
{
printf("search_res->%d\n",res);
} else{
printf("not find\n");
}
return 0;
}
2.二分查找
二分查找也叫折半查找,它仅仅是用于有序的顺序表
二分查找的基本思想:
- 将给定的key与表中间位置的元素比较,如果相同->查找成功
- 如果不同,在中间元素的前半段或后半段分别进行第一步的操作,直到查找成功
- 如果实在没有找到元素,则查找不成功
演示的过程:
- 初始化顺序表,放入10个元素
- 适用qsort接口进行排序,并打印
- 进行查找
二分查找代码:
ElemType BinarySearch(SSTable L,ElemType key)
{
int low=0;
int high=L.TableLen-1;
int mid;
while (low<=high)
{
mid=(low+high)/2;
if(key>L.elem[mid])
{
low=mid+1;
} else if(key<L.elem[mid])
{
high=mid-1;
} else{
return mid;
}
}
return -1;
}
全部代码:
#include <stdio.h>
#include <stdlib.h>
#include <time.h>
typedef int ElemType;
typedef struct SSTable{
ElemType *elem;
int TableLen;
};
void ST_Init(SSTable &ST,int length)
{
ST.TableLen = length;
ST.elem = (ElemType*) malloc(sizeof (SSTable) * ST.TableLen);
int i;
srand(time(NULL));
for (i=0;i<ST.TableLen;i++)
{
ST.elem[i] = rand() % 100;
}
}
void ST_Print(SSTable ST)
{
for (int i = 0; i < ST.TableLen; ++i) {
printf("%3d",ST.elem[i]);
}
printf("\n");
}
ElemType BinarySearch(SSTable L,ElemType key)
{
int low=0;
int high=L.TableLen-1;
int mid;
while (low<=high)
{
mid=(low+high)/2;
if(key>L.elem[mid])
{
low=mid+1;
} else if(key<L.elem[mid])
{
high=mid-1;
} else{
return mid;
}
}
return -1;
}
//函数名中存的是函数的入口地址,也是一个指针(函数指针)
//qsort规定如果left指针指向的值大于right指针指向的值,返回正值,否则返回负
int compare(const void *left,const void *right)
{
return *(int*)left-*(int*)right;
}
int main() {
SSTable ST;
ST_Init(ST,10);
ST_Print(ST);
qsort(ST.elem,ST.TableLen,sizeof (ElemType),compare);
ST_Print(ST);
ElemType key;
printf("please input search key:\n");
scanf("%d",&key);
int res;
res = BinarySearch(ST,key);
if (res!=-1)
{
printf("search res->%d\n",res);
} else{
printf("not find\n");
}
return 0;
}
qsort接口
void qsort(void *base, size_t nitems, size_t size, int (*compar)(const void *, const void*))
- base --指向要排序数组的指针
- nitems --数组中元素的个数
- size -- 数组中每个元素的大小 (sizeof(int))
- compar -- 比较两个元素的函数,返回值必须是指定类型(这里是int)
qsort规定如果left指针指向的值大于right指针指向的值,返回正值,否则返回负,相等返回0
qsort接口的例子:
#include <stdio.h>
#include <stdlib.h>
int values[] = { 88, 56, 100, 2, 25 };
int cmpfunc (const void * a, const void * b)
{
return ( *(int*)a - *(int*)b );
}
int main()
{
int n;
printf("排序之前的列表:\n");
for( n = 0 ; n < 5; n++ ) {
printf("%d ", values[n]);
}
qsort(values, 5, sizeof(int), cmpfunc);
printf("\n排序之后的列表:\n");
for( n = 0 ; n < 5; n++ ) {
printf("%d ", values[n]);
}
return(0);
}
运行结果:
排序之前的列表:
88 56 100 2 25
排序之后的列表:
2 25 56 88 100
3.二叉查找树
二叉查找树也叫二叉排序树,或者是一棵空树。
具有以下的特性:
- 如果左子树非空,则左子树上所有结点的值均小于根结点
- 如果右子树非空,则右子树上所有结点的值均大于根结点
- 左右子树也分别是一棵二叉排序树
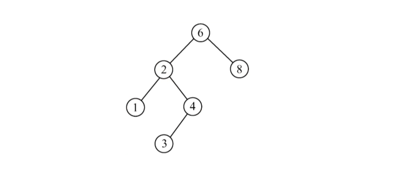
看任何一个最小单元的树的组成部分,左孩子结点小于根节点,右孩子结点大于根结点
例如:

使用二叉查找树查找元素,查找的最多次数就是树的高度。
中序遍历二叉查找树,得到的是从小到大的结果
1.非递归建立二叉查找树
- parent节点用来指示要插入的位置的父亲节点
- 当找到为NULL的p节点时,跳出循环
void Creat_BST(BiTree &T, KeyType *str, int len) {
int i;
for (i = 0; i < len; i++) {
BST_Insert(T, str[i]);
}
}
int BST_Insert(BiTree &T, KeyType k) {
BiTree TreeNew = (BiTree) calloc(1, sizeof(BSTNode));
TreeNew->Key=k;
if (NULL==T)
{
T=TreeNew;
return 0;
}
//用来遍历树
BiTree p=T,parent;
while (p)
{
parent=p;
if (k>p->Key)
{
p=p->rchild;
} else if (k<p->Key)
{
p=p->lchild;
} else{
//相等的元素不放入查找树,返回-1
return -1;
}
}
if (k>parent->Key)
{
parent->rchild=TreeNew;
} else{
parent->lchild=TreeNew;
}
return 0;
}
2.递归建立二叉查找树
int RecurveBST_Insert(BiTree &T,KeyType k)
{
if (NULL==T)
{
T=(BiTree) malloc(sizeof (BSTNode));
T->Key=k;
T->lchild=T->rchild=NULL;
return 1;
} else if(k==T->Key)
{
return 0;
} else if (k<T->Key)
{
return BST_Insert(T->lchild,k);
} else{
return BST_Insert(T->rchild,k);
}
}
函数int RecurveBST_Insert(BiTree &T,KeyType k)传入引用类型
在递归过程中,递归时传入的参数依然是引用类型
3.使用二叉查找树查找
BiTree BST_Search(BiTree T,KeyType k,BiTree &parent)
{
parent=NULL;
while (T!=NULL && k!=T->Key)
{
parent=T;
if (k>T->Key)
{
T=T->rchild;
} else{
T=T->lchild;
}
}
return T;
}
全部代码:
#include <stdio.h>
#include "stdlib.h"
//二叉排序树
typedef int KeyType;
typedef struct BSTNode {
KeyType Key;
struct BSTNode *lchild, *rchild;
} BSTNode, *BiTree;
//非递归创建二叉查找树
int BST_Insert(BiTree &T, KeyType k) {
BiTree TreeNew = (BiTree) calloc(1, sizeof(BSTNode));
TreeNew->Key=k;
if (NULL==T)
{
T=TreeNew;
return 0;
}
//用来遍历树
BiTree p=T,parent;
while (p)
{
parent=p;
if (k>p->Key)
{
p=p->rchild;
} else if (k<p->Key)
{
p=p->lchild;
} else{
//相等的元素不放入查找树,返回-1
return -1;
}
}
if (k>parent->Key)
{
parent->rchild=TreeNew;
} else{
parent->lchild=TreeNew;
}
return 0;
}
void Creat_BST(BiTree &T, KeyType *str, int len) {
int i;
for (i = 0; i < len; i++) {
BST_Insert(T, str[i]);
}
}
void InOrder(BiTree T)
{
if (T!=NULL)
{
InOrder(T->lchild);
printf("%3d",T->Key);
InOrder(T->rchild);
}
}
BiTree BST_Search(BiTree T,KeyType k,BiTree &parent)
{
parent=NULL;
while (T!=NULL && k!=T->Key)
{
parent=T;
if (k>T->Key)
{
T=T->rchild;
} else{
T=T->lchild;
}
}
return T;
}
int RecurveBST_Insert(BiTree &T,KeyType k)
{
if (NULL==T)
{
T=(BiTree) malloc(sizeof (BSTNode));
T->Key=k;
T->lchild=T->rchild=NULL;
return 1;
} else if(k==T->Key)
{
return 0;
} else if (k<T->Key)
{
return BST_Insert(T->lchild,k);
} else{
return BST_Insert(T->rchild,k);
}
}
int main() {
BiTree T = NULL;
KeyType str[7] = {54, 20, 66, 40, 28, 79, 58};
Creat_BST(T, str, 7);
InOrder(T);
printf("\n");
BiTree res,parent;
res=BST_Search(T,40,parent);
if (res)
{
printf("find res->%d\n",res->Key);
} else{
printf("not find\n");
}
return 1;
}
运行结果:
/Users/uichuan/Documents/library/DataStructure/codes/search/BinarySearchTree/cmake-build-debug/BinarySearchTree
20 28 40 54 58 66 79
find res->40
4.二叉查找树删除元素
逻辑过程:
- 首先定位到要删除的结点,根结点如果大于要删除的元素,走左子树,否则走右子树
- 判断要删除的结点的子结点是否为空
- 如果左结点为空(左右结点都为空),将删除节点的父亲节点指向右孩子节点
- 如果右结点为空,将删除节点的父亲节点指向左孩子节点
- 如果左右孩子节点都不为空
- 找左子树的最右孩子节点放在要删除元素的位置
- 这样可以保证树还是一棵二叉查找树
void DeleteNode(BiTree &root,KeyType x)
{
if (NULL==root)
{
return;
}
if (root->Key>x)
{
DeleteNode(root->lchild,x);
} else if (root->Key<x)
{
DeleteNode(root->rchild,x);
} else{
//找到了要删除的节点
if (root->lchild==NULL)
{
BiTree tmpNode=root;
root=root->rchild;
free(tmpNode);
} else if (root->rchild==NULL)
{
BiTree tmpNode=root;
root=root->lchild;
free(tmpNode);
}else{
//左右子树都不为空
BiTree tmpNode=root->lchild;
while (tmpNode->rchild!=NULL)
{
tmpNode=tmpNode->rchild;
}
root->Key=tmpNode->Key;
DeleteNode(root->lchild,tmpNode->Key);
}
}
}
全部代码:
#include <stdio.h>
#include "stdlib.h"
//二叉排序树
typedef int KeyType;
typedef struct BSTNode {
KeyType Key;
struct BSTNode *lchild, *rchild;
} BSTNode, *BiTree;
//非递归创建二叉查找树
int BST_Insert(BiTree &T, KeyType k) {
BiTree TreeNew = (BiTree) calloc(1, sizeof(BSTNode));
TreeNew->Key=k;
if (NULL==T)
{
T=TreeNew;
return 0;
}
//用来遍历树
BiTree p=T,parent;
while (p)
{
parent=p;
if (k>p->Key)
{
p=p->rchild;
} else if (k<p->Key)
{
p=p->lchild;
} else{
//相等的元素不放入查找树,返回-1
return -1;
}
}
if (k>parent->Key)
{
parent->rchild=TreeNew;
} else{
parent->lchild=TreeNew;
}
return 0;
}
int RecurveBST_Insert(BiTree &T,KeyType k)
{
if (NULL==T)
{
T=(BiTree) malloc(sizeof (BSTNode));
T->Key=k;
T->lchild=T->rchild=NULL;
return 1;
} else if(k==T->Key)
{
return 0;
} else if (k<T->Key)
{
return BST_Insert(T->lchild,k);
} else{
return BST_Insert(T->rchild,k);
}
}
void Creat_BST(BiTree &T, KeyType *str, int len) {
int i;
for (i = 0; i < len; i++) {
BST_Insert(T, str[i]);
// RecurveBST_Insert(T,str[i]);
}
}
void InOrder(BiTree T)
{
if (T!=NULL)
{
InOrder(T->lchild);
printf("%3d",T->Key);
InOrder(T->rchild);
}
}
BiTree BST_Search(BiTree T,KeyType k,BiTree &parent)
{
parent=NULL;
while (T!=NULL && k!=T->Key)
{
parent=T;
if (k>T->Key)
{
T=T->rchild;
} else{
T=T->lchild;
}
}
return T;
}
void DeleteNode(BiTree &root,KeyType x)
{
if (NULL==root)
{
return;
}
if (root->Key>x)
{
DeleteNode(root->lchild,x);
} else if (root->Key<x)
{
DeleteNode(root->rchild,x);
} else{
//找到了要删除的节点
if (root->lchild==NULL)
{
BiTree tmpNode=root;
root=root->rchild;
free(tmpNode);
} else if (root->rchild==NULL)
{
BiTree tmpNode=root;
root=root->lchild;
free(tmpNode);
}else{
//左右子树都不为空
BiTree tmpNode=root->lchild;
while (tmpNode->rchild!=NULL)
{
tmpNode=tmpNode->rchild;
}
root->Key=tmpNode->Key;
DeleteNode(root->lchild,tmpNode->Key);
}
}
}
int main() {
BiTree T = NULL;
KeyType str[7] = {54, 20, 66, 40, 28, 79, 58};
Creat_BST(T, str, 7);
InOrder(T);
printf("\n");
BiTree res,parent;
res=BST_Search(T,40,parent);
if (res)
{
printf("find res->%d\n",res->Key);
} else{
printf("not find\n");
}
printf("删除结点28\n");
DeleteNode(T,28);
InOrder(T);
return 1;
}
运行结果:
/Users/uichuan/Documents/library/DataStructure/codes/search/BinarySearchTree/cmake-build-debug/BinarySearchTree
20 28 40 54 58 66 79
find res->40
删除结点28
20 40 54 58 66 79
Process finished with exit code 1
4.BST-2014-42
42.(15分) 一个长度为L(L>=1)的生序序列S,处在第[L/2]个位置的数称为S的中位数。
例如:若序列S1=(11,13,15,17,19),则S1的中位数是15,
两个序列的中位数是含有它们所有元素的升序序列的中位数。
例如:若S2=(2,4,6,8,20),则S1和S2的中位数是11.
现在有两个等长升序序列A和B,试设计一个在时间和空间两方面都尽可能高效的算法,
找出两个序列A和B的中位数。要求:
- 给出算法的基本设计思想
- 根据设计思想,采用C/C++语言描述算法
- 说明时间复杂度以及空间复杂度
解析:
考察内容为双数组的二分查找。
1.算法的设计思想:
1)若a=b,则a或b即为所求中位数,算法结束。
2)若 ab,则舍弃序列 A 中较小的一半,同时舍弃序列 B 中较大的一半,要求舍弃的
长度相等;
3)若 ab,则舍弃序列 A 中较大的一半,同时舍弃序列 B中较小的一半,要求舍弃
的长度相等;
在保留的两个升序序列中,重复过程 1)、2)、3),直到两个序列中均只含一个元素
时为 止,较小者即为所求的中位数。
2.算法描述
int MidSearch(int* A,int* B,int n)
{
//分别表示序列 A 和 B 的首位数、末位数和中位数,s是start简写,d是end简写
int s1 = 0, d1 = n - 1, m1, s2 = 0, d2 = n - 1, m2;
//循环判断结束条件是,两个数组均不断删除最后均只能剩余一个元素
while(s1!=d1||s2!=d2)
{
m1 = (s1 + d1) / 2;
m2 = (s2 + d2) / 2;
if(A[m1]==B[m2])
{
return A[m1];//满足条件 1
}else if(A[m1]<B[m2])//满足条件2
{
if((s1 + d1) % 2 == 0) { //若元素个数为奇数,这里注意数组下标从0开始
s1=m1;//舍弃 A 中间点以前的部分且保留中间点
d2=m2;//舍弃 B 中间点以后的部分且保留中间点
}else{//元素个数为偶数
s1=m1+1;//舍弃 A 中间点及中间点以前部分
d2=m2;//舍弃 B 中间点以后的部分且保留中间点
}
}else{//满足条件 3),下面的操作和上面条件2是完全对称的
if ((s1 + d1) % 2 == 0) { //若元素个数为奇数
d1=m1;//舍弃 A 中间点以后的部分且保留中间点
s2=m2;//舍弃 B 中间点以前的部分且保留中间点
}else{//元素个数为偶数
d1=m1; //舍弃 A 中间点以后部分且保留中间点
s2=m2+1;//舍弃 B 中间点及中间点以前部分
}
}
}
return A[s1] < B[s2] ? A[s1] : B[s2];//因为题目要的是11,因此我们拿小的那个
}
#include <stdio.h>
#include <stdlib.h>
int main() {
int A[] = {11, 13, 15, 17, 19};
int B[] = {2, 4, 6, 8, 20};
int mid = MidSearch(A, B, 5);
printf("mid=%d\n", mid);
return 0;
}
3.算法的时间复杂度是O(log2n),空间复杂度是O(1)
因为没有使用额外的跟 n 相关的空间,所以空间复杂度是O(1),
因为不断的二分,次数是 log2n,所以时间复杂度是 O(log2n)。

浙公网安备 33010602011771号