代码随想录算法训练营第二十三天 | 669. 修剪二叉搜索树,108.将有序数组转换为二叉搜索树,538.把二叉搜索树转换为累加树,总结篇
Day22 周末休息~元宵节快乐
一、参考资料
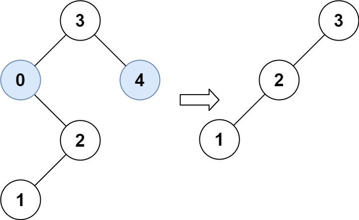
修剪二叉搜索树
题目链接/文章讲解: https://programmercarl.com/0669.%E4%BF%AE%E5%89%AA%E4%BA%8C%E5%8F%89%E6%90%9C%E7%B4%A2%E6%A0%91.html
视频讲解: https://www.bilibili.com/video/BV17P41177ud
将有序数组转换为二叉搜索树
视频讲解:https://www.bilibili.com/video/BV1uR4y1X7qL
把二叉搜索树转换为累加树
视频讲解:https://www.bilibili.com/video/BV1d44y1f7wP
总结篇
https://programmercarl.com/%E4%BA%8C%E5%8F%89%E6%A0%91%E6%80%BB%E7%BB%93%E7%AF%87.html
二、LeetCode669. 修剪二叉搜索树
https://leetcode.cn/problems/trim-a-binary-search-tree/description/
示例一:
示例二:
给你二叉搜索树的根节点 root ,同时给定最小边界low 和最大边界 high。通过修剪二叉搜索树,使得所有节点的值在[low, high]中。修剪树 不应该 改变保留在树中的元素的相对结构 (即,如果没有被移除,原有的父代子代关系都应当保留)。 可以证明,存在 唯一的答案 。
所以结果应当返回修剪好的二叉搜索树的新的根节点。注意,根节点可能会根据给定的边界发生改变。
示例 1:
输入:root = [1,0,2], low = 1, high = 2 输出:[1,null,2]
示例 2:
输入:root = [3,0,4,null,2,null,null,1], low = 1, high = 3 输出:[3,2,null,1]
提示:
树中节点数在范围 [1, 10^4] 内
0 <= Node.val <= 10^4
树中每个节点的值都是 唯一 的
题目数据保证输入是一棵有效的二叉搜索树
0 <= low <= high <= 10^4
- /**
- * Definition for a binary tree node.
- * struct TreeNode {
- * int val;
- * TreeNode *left;
- * TreeNode *right;
- * TreeNode() : val(0), left(nullptr), right(nullptr) {}
- * TreeNode(int x) : val(x), left(nullptr), right(nullptr) {}
- * TreeNode(int x, TreeNode *left, TreeNode *right) : val(x), left(left), right(right) {}
- * };
- */
- // 有两个关键点:
- // 1. 如何释放删除的子树空间
- // 2. left和right节点处,不能像之前return root->left或return root->right,而是针对其左右子树再次进行修剪,将修剪后的子树,通过后面接收
-
- class Solution {
- public:
- TreeNode* trimBST(TreeNode* root, int low, int high) {
- if (root == NULL) return NULL;
-
- if (root->val < low) {
- TreeNode* left = trimBST(root->right, low, high); // 寻找符合区间[low, high]的节点
- return left;
- }
- if (root->val > high) {
- TreeNode* right = trimBST(root->left, low, high); // 寻找符合区间[low, high]的节点
- return right;
- }
-
- root->left = trimBST(root->left, low, high); // root->left接入符合条件的左孩子
- root->right = trimBST(root->right, low, high); // root->right接入符合条件的右孩子
- return root;
- }
- };
- /**
- * Definition for a binary tree node.
- * struct TreeNode {
- * int val;
- * TreeNode *left;
- * TreeNode *right;
- * TreeNode() : val(0), left(nullptr), right(nullptr) {}
- * TreeNode(int x) : val(x), left(nullptr), right(nullptr) {}
- * TreeNode(int x, TreeNode *left, TreeNode *right) : val(x), left(left), right(right) {}
- * };
- */
- // 递归法——精简版
- class Solution {
- public:
- TreeNode* trimBST(TreeNode* root, int low, int high) {
- if (root == NULL) return NULL;
- if (root->val < low) return trimBST(root->right, low, high);
- if (root->val > high) return trimBST(root->left, low, high);
-
- root->left = trimBST(root->left, low, high);
- root->right = trimBST(root->right, low, high);
-
- return root;
- }
- };
迭代法:【参考卡哥文章解法】
- // 在剪枝的时候,可以分为三步:
- // 1. 将root移动到[L, R] 范围内,注意是左闭右闭区间
- // 2. 剪枝左子树
- // 3. 剪枝右子树
-
- class Solution {
- public:
- TreeNode* trimBST(TreeNode* root, int L, int R) {
- if (!root) return nullptr;
-
- // 处理头结点,让root移动到[L, R] 范围内,注意是左闭右闭
- while (root != nullptr && (root->val < L || root->val > R)) {
- if (root->val < L) root = root->right; // 小于L往右走
- else root = root->left; // 大于R往左走
- }
- TreeNode *cur = root;
- // 此时root已经在[L, R] 范围内,处理左孩子元素小于L的情况
- while (cur != nullptr) {
- while (cur->left && cur->left->val < L) {
- cur->left = cur->left->right;
- }
- cur = cur->left;
- }
- cur = root;
-
- // 此时root已经在[L, R] 范围内,处理右孩子大于R的情况
- while (cur != nullptr) {
- while (cur->right && cur->right->val > R) {
- cur->right = cur->right->left;
- }
- cur = cur->right;
- }
- return root;
- }
- };
三、LeetCode108.将有序数组转换为二叉搜索树
https://leetcode.cn/problems/convert-sorted-array-to-binary-search-tree/description/
示例1:
示例一的另一个图
示例二:
给你一个整数数组 nums ,其中元素已经按 升序 排列,请你将其转换为一棵 高度平衡 二叉搜索树。
高度平衡 二叉树是一棵满足「每个节点的左右两个子树的高度差的绝对值不超过 1 」的二叉树。
示例 1:
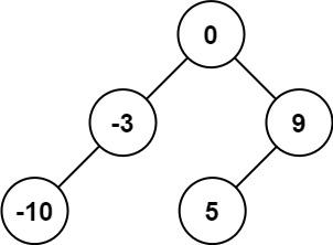
输入:nums = [-10,-3,0,5,9] 输出:[0,-3,9,-10,null,5] 解释:[0,-10,5,null,-3,null,9] 也将被视为正确答案:
示例 2:
输入:nums = [1,3] 输出:[3,1] 解释:[1,null,3] 和 [3,1] 都是高度平衡二叉搜索树。
提示:
1 <= nums.length <= 104
-104 <= nums[i] <= 104
nums 按 严格递增 顺序排列
- /**
- * Definition for a binary tree node.
- * struct TreeNode {
- * int val;
- * TreeNode *left;
- * TreeNode *right;
- * TreeNode() : val(0), left(nullptr), right(nullptr) {}
- * TreeNode(int x) : val(x), left(nullptr), right(nullptr) {}
- * TreeNode(int x, TreeNode *left, TreeNode *right) : val(x), left(left), right(right) {}
- * };
- */
- // 递归法
- class Solution {
- private:
- TreeNode* traversal(vector<int>& nums, int left, int right) {
- if (left > right) return NULL;
- int mid = (right - left) / 2 + left; // 防止溢出
- TreeNode* root = new TreeNode(nums[mid]);
-
- root->left = traversal(nums, left, mid - 1);
- root->right = traversal(nums, mid + 1, right);
-
- return root;
- }
- public:
- TreeNode* sortedArrayToBST(vector<int>& nums) {
- return traversal(nums, 0, nums.size() - 1);
- }
- };
- /**
- * Definition for a binary tree node.
- * struct TreeNode {
- * int val;
- * TreeNode *left;
- * TreeNode *right;
- * TreeNode() : val(0), left(nullptr), right(nullptr) {}
- * TreeNode(int x) : val(x), left(nullptr), right(nullptr) {}
- * TreeNode(int x, TreeNode *left, TreeNode *right) : val(x), left(left), right(right) {}
- * };
- */
-
- // 递归法 —— 我写一遍(注意区间是左闭右闭)
- class Solution {
- private:
- TreeNode* traversal(vector<int>& nums, int left, int right) {
- if (left > right) return NULL;
- int mid = (right - left) / 2 + left;
- TreeNode* root = new TreeNode(nums[mid]);
- root->left = traversal(nums, left, mid - 1);
- root->right = traversal(nums, mid + 1, right);
- return root;
- }
-
- public:
- TreeNode* sortedArrayToBST(vector<int>& nums) {
- return traversal(nums, 0, nums.size() - 1);
- }
- };
注意:在调用traversal的时候传入的left和right为什么是0和nums.size() - 1,因为定义的区间为左闭右闭。
迭代法:【参考卡哥文章解法】
迭代法可以通过三个队列来模拟,一个队列放遍历的节点,一个队列放左区间下标,一个队列放右区间下标。模拟的就是不断分割的过程。
- class Solution {
- public:
- TreeNode* sortedArrayToBST(vector<int>& nums) {
- if (nums.size() == 0) return nullptr;
-
- TreeNode* root = new TreeNode(0); // 初始根节点
- queue<TreeNode*> nodeQue; // 放遍历的节点
- queue<int> leftQue; // 保存左区间下标
- queue<int> rightQue; // 保存右区间下标
- nodeQue.push(root); // 根节点入队列
- leftQue.push(0); // 0为左区间下标初始位置
- rightQue.push(nums.size() - 1); // nums.size() - 1为右区间下标初始位置
-
- while (!nodeQue.empty()) {
- TreeNode* curNode = nodeQue.front();
- nodeQue.pop();
- int left = leftQue.front(); leftQue.pop();
- int right = rightQue.front(); rightQue.pop();
- int mid = left + ((right - left) / 2);
-
- curNode->val = nums[mid]; // 将mid对应的元素给中间节点
-
- if (left <= mid - 1) { // 处理左区间
- curNode->left = new TreeNode(0);
- nodeQue.push(curNode->left);
- leftQue.push(left);
- rightQue.push(mid - 1);
- }
-
- if (right >= mid + 1) { // 处理右区间
- curNode->right = new TreeNode(0);
- nodeQue.push(curNode->right);
- leftQue.push(mid + 1);
- rightQue.push(right);
- }
- }
- return root;
- }
- };
四、LeetCode538.把二叉搜索树转换为累加树
https://leetcode.cn/problems/convert-bst-to-greater-tree/description/
示例一:
给出二叉 搜索 树的根节点,该树的节点值各不相同,请你将其转换为累加树(Greater Sum Tree),使每个节点 node 的新值等于原树中大于或等于 node.val 的值之和。
提醒一下,二叉搜索树满足下列约束条件:
节点的左子树仅包含键 小于 节点键的节点。
节点的右子树仅包含键 大于 节点键的节点。
左右子树也必须是二叉搜索树。
注意:本题和 1038: https://leetcode-cn.com/problems/binary-search-tree-to-greater-sum-tree/ 相同
示例 1:
输入:[4,1,6,0,2,5,7,null,null,null,3,null,null,null,8] 输出:[30,36,21,36,35,26,15,null,null,null,33,null,null,null,8]
示例 2:
输入:root = [0,null,1] 输出:[1,null,1]
示例 3:
输入:root = [1,0,2] 输出:[3,3,2]
示例 4:
输入:root = [3,2,4,1] 输出:[7,9,4,10]
提示:
树中的节点数介于 0 和 10^4 之间。
每个节点的值介于 -10^4 和 10^4 之间。
树中的所有值 互不相同 。
给定的树为二叉搜索树。
- /**
- * Definition for a binary tree node.
- * struct TreeNode {
- * int val;
- * TreeNode *left;
- * TreeNode *right;
- * TreeNode() : val(0), left(nullptr), right(nullptr) {}
- * TreeNode(int x) : val(x), left(nullptr), right(nullptr) {}
- * TreeNode(int x, TreeNode *left, TreeNode *right) : val(x), left(left), right(right) {}
- * };
- */
- // 递归法——从大到小的顺序,右中左
- class Solution {
- private:
- int pre = 0; // pre记录上一个节点的值
- void traversal(TreeNode* cur) {
- if (cur == NULL) return ;
- // 右
- traversal(cur->right);
- // 中
- cur->val += pre;
- pre = cur->val;
- // 左
- traversal(cur->left);
- }
- public:
- TreeNode* convertBST(TreeNode* root) {
- traversal(root);
- return root;
- }
- };
- // 稍微简化一些
- class Solution {
- private:
- int pre = 0; // 记录前一个节点的数值
- void traversal(TreeNode* cur) { // 右中左遍历
- if (cur == NULL) return;
- traversal(cur->right);
- cur->val += pre;
- pre = cur->val;
- traversal(cur->left);
- }
- public:
- TreeNode* convertBST(TreeNode* root) {
- pre = 0;
- traversal(root);
- return root;
- }
- };
迭代法:
- class Solution {
- private:
- // 将目标节点(删除节点)的左子树放到 目标节点的右子树的最左面节点的左孩子位置上
- // 并返回目标节点右孩子为新的根节点
- // 是动画里模拟的过程
- TreeNode* deleteOneNode(TreeNode* target) {
- if (target == nullptr) return target;
- if (target->right == nullptr) return target->left;
- TreeNode* cur = target->right;
- while (cur->left) {
- cur = cur->left;
- }
- cur->left = target->left;
- return target->right;
- }
- public:
- TreeNode* deleteNode(TreeNode* root, int key) {
- if (root == nullptr) return root;
- TreeNode* cur = root;
- TreeNode* pre = nullptr; // 记录cur的父节点,用来删除cur
- while (cur) {
- if (cur->val == key) break;
- pre = cur;
- if (cur->val > key) cur = cur->left;
- else cur = cur->right;
- }
- if (pre == nullptr) { // 如果搜索树只有头结点
- return deleteOneNode(cur);
- }
- // pre 要知道是删左孩子还是右孩子
- if (pre->left && pre->left->val == key) {
- pre->left = deleteOneNode(cur);
- }
- if (pre->right && pre->right->val == key) {
- pre->right = deleteOneNode(cur);
- }
- return root;
- }
- };
五、总结篇
一份参考如下图,学习了~
总结:
树的专题告一段落~继续加油嗷!


浙公网安备 33010602011771号