动态规划案例
动态规划一般有三步,定义子问题,这个子问题有着最优子结构,如果选取不合适可能无法解题;分析最优解的特点找到当前问题的最优解与最优子结构的关系,利用已经解决的子问题解决更大的问题,通常是最难的;初始化,极端情况的赋值,一般比较简单。
1、二项式系数计算问题
二项式系数用阶乘计算,也可采用杨辉三角加法解决,可算是一个线性规划问题。
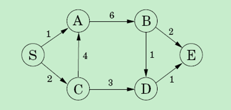
2、DAG(有向无环图)最长路径问题

将图变化一下:

最长路径的起点是入度为0的点,终点是出度为0的点,u是v的前继,每一个结点都计算起点到这个点的最长距离,而这个点的最长距离是依赖和它直接相连的前继结点+两点之间距离去max得来的,也就完成了longest path。

3、编辑距离
关注两个字符串的最后一列分类讨论,如果一对一比较是否相同,如果一对空直接加1

#define _CRT_SECURE_NO_WARNINGS
#include<stdio.h>
#include<string.h>
char str1[100], str2[100];
int E[100][100];
int MIN_Three(int a, int b, int c)
{
if (a <= b) {
if (a <= c)return a;
else return c;
}
else {
if (b <= c)return b;
else return c;
}
}
int main()
{
scanf("%s %s", str1, str2);
int len1 = strlen(str1);
int len2 = strlen(str2);
for (int i = 0; i <= len1; i++)E[0][i] = i;
for (int i = 0; i <= len2; i++)E[i][0] = i;
for (int i = 1; i <= len1; i++)
{
for (int j = 1; j <= len2; j++)
{
if (str1[i] == str2[j]) {
E[i][j] = MIN_Three(E[i - 1][j] + 1, E[i][j - 1] + 1, E[i - 1][j - 1]);
}
else E[i][j] = MIN_Three(E[i - 1][j] + 1, E[i][j - 1] + 1, E[i - 1][j - 1] + 1);
}
}
printf("%d\n", E[len1][len2]);
}
4、背包问题(每个物品可选无数次)
#include<iostream>
#include<algorithm>
using namespace std;
int weight[105], value[105];//最多输入100个物品
int W;//背包所能承受的最大重量
int n;//有多少物品可供选择
int K[10005];//背包承受的重量不能超过10000
int main()
{
cin >> n >> W;
for (int i = 1; i <= n; i++)
cin >> weight[i] >> value[i];
for (int i = 1; i <= W; i++)
{
for (int j = 1; j <= n; j++)
{
if (i >= weight[j])K[i] = max(K[i], K[i - weight[j]] + value[j]);
}
}
cout << K[W];
}
5、背包问题(每个物品最多选一次)
#include<iostream>
#include<algorithm>
using namespace std;
int weight[105], value[105];//最多输入100个物品
int W;//背包所能承受的最大重量
int n;//有多少物品可供选择
int K[1005][105];//背包承受的重量不能超过1000
int main()
{
cin >> n >> W;
for (int i = 1; i <= n; i++)
cin >> weight[i] >> value[i];
for (int i = 1; i <= n; i++)K[0][i] = 0;
for (int i = 1; i <= W; i++)K[i][0] = 0;
for (int i = 1; i <= W; i++)
{
for (int j = 1; j <= n; j++)
{
if (i >= weight[j])K[i][j] = max(K[i][j - 1], K[i - weight[j]][j - 1] + value[j]);
else K[i][j] = K[i][j - 1];
}
}
cout << K[W][n];
}
6、矩阵连乘
n个矩阵相乘,因为结合律,矩阵计算的先后顺序不同,结合的先后计算的次数也不同,求出最小的计算次数


#include<iostream>
#include<algorithm>
#include<limits.h>
using namespace std;
typedef struct Matrix
{
int line_number;
int column_number;
};
Matrix M[105];//最多输入100个矩阵
int Q[105][105];//从i到j矩阵乘积的最小花销
int n;
int main()
{
cin >> n;
for (int i = 1; i <= n; i++)
cin >> M[i].line_number >> M[i].column_number;
for (int i = 1; i <= n; i++)
for (int j = 1; j <= n; j++)
if (i == j)Q[i][i] = 0;
else Q[i][j] =INT_MAX;
for (int s = 1; s < n; s++) {
for (int i = 1; i <= n-s; i++) {
int j = i + s;
for (int k = i; k <j; k++)
Q[i][j] = min(Q[i][j], Q[i][k] + Q[k + 1][j] + M[i].line_number * M[k + 1].line_number * M[j].column_number);
}
}
cout << Q[1][n];
}

浙公网安备 33010602011771号