平均分布/高斯分布
生成随机数组
1.均匀分布
1.1常用语句
import numpy as np
date1=np.random.uniform(low=0,high=1,size=1000000) print(date1)
1.2直方图
import matplotib.pyplot as plt#导入matplotib.pyplot并简写为plt
#画图三步
#1创建画布
plt.figure(figsize=(20,8),dpi=80)
#2绘制直方图
plt.hist(date1,1000)
#3显示图像 plt.show()
1.3输出为:
2正态分布
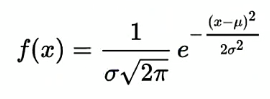
是一种概率分布,正态分布是具有两个参数μ和σ的连续型随机变量的分布,其中μ表示正态分布的随机变量的均值(对称点),σ表示随机变量的方差(表示分布的离散程度值越小越集中,反之离散),正态分布可以表示为N(μ,σ)。

标准正态分布:μ为0,σ平方为1.0
μ决定其(对称)位置,其标准差σ决定了分布幅度。
概率密度公式:

*小提一嘴:
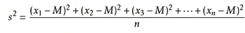
方差:在概率论和统计学中衡量一组数离散程度的度量
方差公式:

其中M为平均值,n为数据总个数,S为标准差
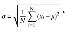
标准差公式:

2.1常用语句
#以学生的身高为例。输入一组身高数据 date2=np.random.normal(loc=1.75,scale=0.1,size=100000) print(date2)
import matplotlib.pyplot as plt#导入matplotib.pyplot并简写为pl
2.2输出

原文地址:https://www.zhihu.com/zvideo/1453733069539135488

浙公网安备 33010602011771号