百面机器学习笔记-6
经典算法
支持向量机(svm)
question: 在空间上线性可分的两类点,分别向SVM分类的超平面上做投影,这些点在超平面上的投影仍然是线性可分的吗?
answer:不是。
补充:
实际上,该问题也可以通过凸优化理论中的超平面分离定理(Separating Hyperplane Theorem,SHT)更加轻巧地解决。该定理描述的是,对于不相交的两 个凸集,存在一个超平面,将两个凸集分离。对于二维的情况,两个凸集间距离 最短两点连线的中垂线就是一个将它们分离的超平面。


补充:实际上,该问题也可以通过凸优化理论中的超平面分离定理(Separating Hyperplane Theorem,SHT)更加轻巧地解决。该定理描述的是,对于不相交的两个凸集,存在一个超平面,将两个凸集分离。对于二维的情况,两个凸集间距离 最短两点连线的中垂线就是一个将它们分离的超平面。
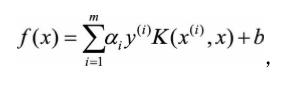
question:是否存在一组参数使SVM训练差为0?(一个使用高斯核
训练的SVM中,试证明若给定训练集 中不存在两个点在同一位置,则存在一组参数{α1,...,αm,b}以及参数γ使得该SVM的 训练误差为0)
answer:根据SVM的原理,我们可以将SVM的预测公式可写为

其中
为训练样本,而{α1,...,αm,b}以及高斯核参数γ为训练样 本的参数。由于不存在两个点在同一位置,因此对于任意的i≠j,有
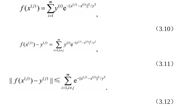
。 我们可以对任意i,固定αi=1以及b=0,只保留参数γ,则有

将任意x(j)代入上式,则有

由题意知
,取
,可将式(3.12)重写为


question: 训练误差为0的SVM分类器一定存在吗?
answer:本问旨在找到一组参 数满足训练误差为0,且是SVM模型的一个解。

question:加入松弛变量的SVM的训练误差可以为0吗?在实际应用中,如果使用SMO算法来训练一个加入松弛变量的线性SVM模 型,并且惩罚因子C为任一未知常数,我们是否能得到训练误差为0的模型呢?
answer:使用SMO算法训练的线性分类器并不一定能得到训练误差为0的模型。这是由于我们的优化目标改变了,并不再是使训练误差最小。考虑带松弛变量的SVM模型优化的目标函数所包含的两项:
,当我们的参数C选取较小的值 时,后一项(正则项)将占据优化的较大比重。这样,一个带有训练误差,但是 参数较小的点将成为更优的结果。一个简单的特例是,当C取0时,w也取0即可达 到优化目标,但是显然此时我们的训练误差不一定能达到0。
补充:
序列最小优化算法(SMO)
SMO算法介绍
SMO的思想类似坐标上升算法,我们需要优化一系列的αα的值,我们每次选择尽量少的 来优化,不断迭代直到函数收敛到最优值。
来到SVM的对偶问题上,对偶形式:
subject to ,
其中我们需要对 进行优化,但是这个凸二次优化问题的其他求解算法的复杂度很高,但是Platt提出的SMO算法可以高效的求解上述对偶问题,他把原始问题的求解
个参数二次规划问题分解成多个二次规划问题求解,每个字问题只需要求解2各参数,节省了时间成本和内存需求。
与坐标上升算法不同的是,我们在SMO算法中我们每次需要选择一对变量 , 因为在SVM中,我们的
并不是完全独立的,而是具有约束的:
因此一个 改变,另一个也要随之变化以满足条件。
SMO算法原理
获得没有修剪的原始解
假设我们选取的两个需要优化的参数为 , 剩下的
则固定,作为常数处理。将SVM优化问题进行展开就可以得到(把与
无关的项合并成常数项
):
于是就是一个二元函数的优化:
根据约束条件 可以得到
与
的关系:
两边同时乘上 , 由于
得到:
令 ,
,
的表达式代入得到:
后面我们需要对这个一元函数进行求极值, 对
的一阶导数为0得到:
下面我们稍微对上式进行下变形,使得 能够用更新前的
表示,而不是使用不方便计算的
。
因为SVM对数据点的预测值为:
则 以及
的值可以表示成:
已知 , 可得到:
将 的表达式代入到
中可以得到:
我们记 为SVM预测值与真实值的误差:
令 得到最终的一阶导数表达式:
得到:
这样我们就得到了通过旧的 获取新的
的表达式,
便可以通过
得到。
对原始解进行修剪
上面我们通过对一元函数求极值的方式得到的最优 是未考虑约束条件下的最优解,我们便更正我们上部分得到的
为
, 即:
但是在SVM中我们的 是有约束的,即:
此约束为方形约束(Bosk constraint), 在二维平面中我们可以看到这是个限制在方形区域中的直线(见下图)。

(如左图) 当 时,线性限制条件可以写成:
,根据
的正负可以得到不同的上下界,因此统一表示成:
- 下界:
- 上界:
(如右图) 当 时,限制条件可写成:
, 上下界表示成:
- 下界:
- 上界:
根据得到的上下界,我们可以得到修剪后的 :
得到了 我们便可以根据
得到
:
OK, 这样我们就知道如何将选取的一对 进行优化更新了。
更新阈值b
当我们更新了一对 之后都需要重新计算阈值
,因为
关系到我们
的计算,关系到下次优化的时候误差
的计算。
为了使得被优化的样本都满足KKT条件,
当 不在边界,即
, 根据KKT条件可知相应的数据点为支持向量,满足
, 两边同时乘上
得到
, 进而得到
的值:
其中上式的前两项可以写成:
当 , 可以得到bnew2b2new的表达式(推导同上):
当 和
都有效的时候他们是相等的, 即
。
当两个乘子 都在边界上,且
时,
之间的值就是和KKT条件一直的阈值。SMO选择他们的中点作为新的阈值:
简化版SMO算法实现
这里我主要针对SMO中已选取的一对 值的优化过程进行下Python实现,其中
的选取直接使用傻瓜的遍历方式,并使用100数据点进行训练。
首先是一些辅助函数,用来帮助加载数据,修剪 的值以及随机选取
def load_data(filename): dataset, labels = [], [] with open(filename, 'r') as f: for line in f: x, y, label = [float(i) for i in line.strip().split()] dataset.append([x, y]) labels.append(label) return dataset, labels def clip(alpha, L, H): ''' 修建alpha的值到L和H之间. ''' if alpha < L: return L elif alpha > H: return H else: return alpha def select_j(i, m): ''' 在m中随机选择除了i之外剩余的数 ''' l = list(range(m)) seq = l[: i] + l[i+1:] return random.choice(seq) #为了能在最后绘制SVM分割线,我们需要根据获取的 [公式] ,数据点以及标签来获取 [公式] 的值: def get_w(alphas, dataset, labels): ''' 通过已知数据点和拉格朗日乘子获得分割超平面参数w ''' alphas, dataset, labels = np.array(alphas), np.array(dataset), np.array(labels) yx = labels.reshape(1, -1).T*np.array([1, 1])*dataset w = np.dot(yx.T, alphas) return w.tolist() #简化版SMO算法的实现,即便没有添加启发式的 [公式] 选取,SMO算法仍然有比较多的公式需要实现,我本人按照上文的推导进行实现的时候就因为写错了一个下标算法一直跑不出想要的结果。 #此实现主要包含两重循环,外层循环是控制最大迭代步数,此迭代步数是在每次有优化一对αα之后进行判断所选取的 [公式] 是否已被优化,如果没有则进行加一,如果连续max_iter步数之后仍然没有 [公式] 被优化,则我们就认为所有的 [公式] 基本已经被优化,优化便可以终止了. def simple_smo(dataset, labels, C, max_iter): ''' 简化版SMO算法实现,未使用启发式方法对alpha对进行选择. :param dataset: 所有特征数据向量 :param labels: 所有的数据标签 :param C: 软间隔常数, 0 <= alpha_i <= C :param max_iter: 外层循环最大迭代次数 ''' dataset = np.array(dataset) m, n = dataset.shape labels = np.array(labels) # 初始化参数 alphas = np.zeros(m) b = 0 it = 0 def f(x): "SVM分类器函数 y = w^Tx + b" # Kernel function vector. x = np.matrix(x).T data = np.matrix(dataset) ks = data*x # Predictive value. wx = np.matrix(alphas*labels)*ks fx = wx + b return fx[0, 0] while it < max_iter: pair_changed = 0 for i in range(m): a_i, x_i, y_i = alphas[i], dataset[i], labels[i] fx_i = f(x_i) E_i = fx_i - y_i j = select_j(i, m) a_j, x_j, y_j = alphas[j], dataset[j], labels[j] fx_j = f(x_j) E_j = fx_j - y_j K_ii, K_jj, K_ij = np.dot(x_i, x_i), np.dot(x_j, x_j), np.dot(x_i, x_j) eta = K_ii + K_jj - 2*K_ij if eta <= 0: print('WARNING eta <= 0') continue # 获取更新的alpha对 a_i_old, a_j_old = a_i, a_j a_j_new = a_j_old + y_j*(E_i - E_j)/eta # 对alpha进行修剪 if y_i != y_j: L = max(0, a_j_old - a_i_old) H = min(C, C + a_j_old - a_i_old) else: L = max(0, a_i_old + a_j_old - C) H = min(C, a_j_old + a_i_old) a_j_new = clip(a_j_new, L, H) a_i_new = a_i_old + y_i*y_j*(a_j_old - a_j_new) if abs(a_j_new - a_j_old) < 0.00001: #print('WARNING alpha_j not moving enough') continue alphas[i], alphas[j] = a_i_new, a_j_new # 更新阈值b b_i = -E_i - y_i*K_ii*(a_i_new - a_i_old) - y_j*K_ij*(a_j_new - a_j_old) + b b_j = -E_j - y_i*K_ij*(a_i_new - a_i_old) - y_j*K_jj*(a_j_new - a_j_old) + b if 0 < a_i_new < C: b = b_i elif 0 < a_j_new < C: b = b_j else: b = (b_i + b_j)/2 pair_changed += 1 print('INFO iteration:{} i:{} pair_changed:{}'.format(it, i, pair_changed)) if pair_changed == 0: it += 1 else: it = 0 print('iteration number: {}'.format(it)) return alphas, b
Ok, 下面我们就用训练数据对SVM进行优化, 并对最后优化的分割线以及数据点进行可视化
if '__main__' == __name__: # 加载训练数据 dataset, labels = load_data('testSet.txt') # 使用简化版SMO算法优化SVM alphas, b = simple_smo(dataset, labels, 0.6, 40) # 分类数据点 classified_pts = {'+1': [], '-1': []} for point, label in zip(dataset, labels): if label == 1.0: classified_pts['+1'].append(point) else: classified_pts['-1'].append(point) fig = plt.figure() ax = fig.add_subplot(111) # 绘制数据点 for label, pts in classified_pts.items(): pts = np.array(pts) ax.scatter(pts[:, 0], pts[:, 1], label=label) # 绘制分割线 w = get_w(alphas, dataset, labels) x1, _ = max(dataset, key=lambda x: x[0]) x2, _ = min(dataset, key=lambda x: x[0]) a1, a2 = w y1, y2 = (-b - a1*x1)/a2, (-b - a1*x2)/a2 ax.plot([x1, x2], [y1, y2]) # 绘制支持向量 for i, alpha in enumerate(alphas): if abs(alpha) > 1e-3: x, y = dataset[i] ax.scatter([x], [y], s=150, c='none', alpha=0.7, linewidth=1.5, edgecolor='#AB3319') plt.show()
优化最后我们可以看到针对100个数据的 只有少部分是大于零的,即对应的数据点就是支持向量:

为了能直观的显示支持向量,我将其标注了出来,最终可视化的效果如下图:


浙公网安备 33010602011771号