椭球体积计算公式

推导过程

 

首先,令

化简:

带入

同除,整理得:

由椭圆面积公式:

(a不是题目中的a,b也不是题目中的b)

知:

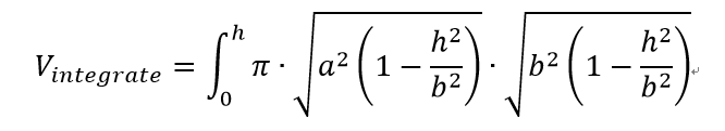
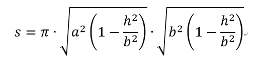
又知:

故:

积分得:

posted on 2015-04-12 19:28  tsw123  阅读(3888)  评论(0)    收藏  举报

导航