公式定理
公式
两个重要极限公式

三角函数的全名
- 正弦:sine(简写sin)[sain]
- 余弦:cosine(简写cos)[kusain]
- 正切:tangent(简写tan)['tndnt]
- 余切:cotangent(简写cot)['ku'tndnt]
\(\cot x=\frac{1}{\tan x}\) - 正割:secant(简写sec)['si:knt]
\(\sec x=\frac{1}{\cos x}\) - 余割:cosecant(简写csc)['kau'si:knt]
\(\csc x=\frac{1}{\sin x}\) - 正矢:versine(简写versin)['v:sain]
- 余矢:versed cosine(简写vercos)['v:s:d][kusain]

三个倒三角,两上角平方和等于下角平方。
\(\sin ^{2}x+\cos ^{2}x=1\)
\(\tan ^{2}x+1=\sec ^{2}x\)
\(1+\cot ^{2}x=\csc ^{2}x\)
导数公式
\((\log_{a}x)'=\frac{1}{x\ln a}(a>0,a\neq 1)\)
\((\tan x)'=\sec ^{2}x\)
\((\cot x)'=-\csc ^{2}x\)
\((\sec x)'=\sec x\tan x\)
\((\csc x)'=-\csc x\cot x\)
\((\arcsin x)'=\frac{1}{\sqrt{1-x^{2}}}\)
\((\arccos x)'=\frac{-1}{\sqrt{1-x^{2}}}\)
\((\arctan x)'=\frac{1}{1+x^{2}}\)
\((\textrm{arccot} x)'=\frac{-1}{1+x^{2}}\)
等价无穷小公式
当\(x\to 0\)时:
- \(\ln (1+x)=x-\frac{1}{2}x^{2}+\frac{1}{3}x^{3}+O(x^{3})\)
- \(\sin x=x-\frac{1}{6}x^{3}+O(x^{3})\)
- \(\cos x=1-\frac{1}{2}x^{2}+\frac{1}{24}x^{4}+O(x^{3})\)
- \(\arcsin x=x+\frac{1}{6}x^{3}+O(x^{3})\)
- \(\tan x= x+\frac{1}{3}x^{3}+O(x^{3})\)
- \(\arctan x= x-\frac{1}{3}x^{3}+O(x^{3})\)
- \(\ln (1+x)=x-\frac{1}{2}x^{2}+\frac{1}{3}x^{3}+O(x^{3})\)
- \(e^{x} = 1+x+\frac{1}{2}x^{2}+\frac{1}{6}x^{3}+O(x^{3})\)
- \((1+x)^{\alpha }=1+\alpha x+\frac{\alpha (\alpha -1)}{2}x^{2}+O(x^{2})\)
麦克劳林级数
【麦克劳林级数是函数在x=0处的泰勒级数】如果函数f(x)在点x=0处存在任意阶导数,则称\(f(0)+f'(0)x+\frac{f''(0)}{2!}x^{2}+\cdots +\frac{f^{(n)}(0)}{n!}x^{n}+\cdots\)为函数f(x)的麦克劳林公式,记作:$$f(x)\sim \sum_{n=0}^{\infty }\frac{f{(n)}(0)}{n!}x$$
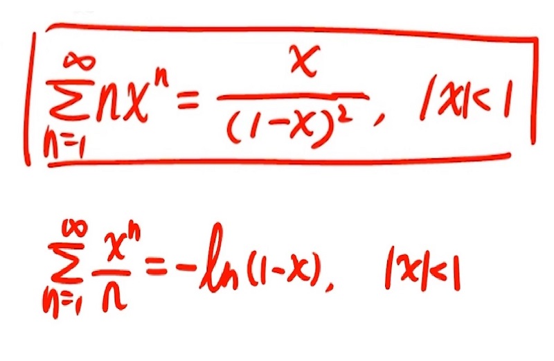
七个常见麦克劳林级数如下:
其他麦克劳林级数:
令x=1,则$$\frac{\pi }{4}=\arctan 1=1-\frac{1}{3}+\frac{1}{5}-\frac{1}{7}+\cdots +(-1)^{n-1}\frac{1}{2n-1}$$

傅里叶级数
傅里叶级数
设f(x)是定义在\((-\infty,+\infty)\)内的周期为2\(\pi\)的函数,且能展开成三角级数,即傅里叶级数:
傅里叶系数
这里由f(x)确定的系数\(a_{0},a_{1},\cdots,a_{n};b_{0},b_{1},\cdots,b_{n},\)叫做函数f(x)的傅里叶系数
\(a_{0}=\frac{1}{\pi}\int_{-\pi}^{\pi}f(x)dx\)
$a_{n}=\frac{1}{\pi}\int_{-\pi}^{\pi}f(x)\cos nxdx,n=1,2,\cdots \(
\)b_{n}=\frac{1}{\pi}\int_{-\pi}^{\pi}f(x)\sin nxdx,n=1,2,\cdots $
正弦级数
当f(x)为奇函数时,
$a_{n}=0,n=0,1,2,\cdots \(
\)b_{n}=\frac{2}{\pi}\int_{0}^{\pi}f(x)\sin nxdx,n=1,2,\cdots $
此时傅里叶级数变成只含有正弦项的正弦级数:
余弦级数
当f(x)为偶函数时,
\(a_{n}=\frac{2}{\pi}\int_{0}^{\pi}f(x)\cos nxdx,n=0,1,2,\cdots\)
$b_{n}=0,n=0,1,2,\cdots $
此时傅里叶级数变成只含有常数项和余弦项的余弦级数:
其他常用公式
- 两数和的幂的展开式
- \((E+B)^{n} =E^{n}+nE^{n-1}B+\frac{n(n-1)}{2!}E^{n-2}B^{2}+\frac{n(n-1)(n-2)}{3!}E^{n-3}B^{3}+...+B^{n}\)
- 差化积
- \(x^{n}-1 = (x-1)(x^{n-1}+x^{n-2}+...+x+1)\)
- \(a^{3}-b^{3} = (a-b)(a^{2}+ab+b^{2})\)
定理
罗尔定理
若f(x)有:
1、在[a,b]上连续
2、在(a,b)上可导
3、f(a)=f(b)
那么,存在\(\xi \in (a,b),使f'(\xi )=0\)

拉格朗日定理
若f(x)有:
1、在[a,b]上连续
2、在(a,b)上可导
那么,存在\(\xi \in (a,b),使f '(ξ)=\frac{f(b)-f(a)}{b-a}\)
或写成:
1、\(f(b)-f(a)=f'(\xi )(b-a)\)
2、\(f(x)=f(a)+f'(\xi )(x-a)\)
3、\(f(x)=f(a)+\int_{a}^{x}f'(t)dt\)

注:若f(a)=f(b)且a\(\neq\)b,那么拉格朗日定理变成罗尔定理,即罗尔定理是拉格朗日定理的一种特殊情况。
柯西定理
若f(x),g(x)有:
1、在[a,b]上连续
2、在(a,b)上可导
3、\(g'(x)\neq 0\)
那么,存在ξ∈(a,b),使\(\frac{f(b)-f(a)}{g(b)-g(a)}=\frac{f'(\xi )}{g'(\xi )}\)
注:若g(x)=x,则柯西定理变成拉格朗日定理。
幂级数--阿贝尔定理的证明
根据比值审敛法,有:$$p=\lim_{n\to \infty}\left | \frac{a_{n+1}x{n+1}}{a_{n}x{n}} \right |=\lim_{n\to \infty}\left | \frac{a_{n+1}}{a_{n}} \right ||x|=\frac{|x|}{R}<1$$
故:|x|<R时级数收敛,|x|>R时级数发散
浙公网安备 33010602011771号